
ดูว่าแอมพลิฟายเออร์แบบลอการิทึมและแอนติลอการิทึมทำการคำนวณแบบอนาล็อกที่ซับซ้อนได้อย่างรวดเร็วได้อย่างไร
วงจรไฟฟ้าที่ทำการคำนวณทางคณิตศาสตร์ เช่น ลอการิทึมและแอนติลอการิทึม (เลขชี้กำลัง) พร้อมกับการขยายสัญญาณ เรียกว่าวงจรขยายสัญญาณลอการิทึมและวงจรขยายสัญญาณแอนติลอการิทึมตามลำดับ
บทนี้จะกล่าวถึงวงจรขยายสัญญาณแบบลอการิทึมและวงจรขยายสัญญาณแบบแอนติลอการิทึมโดยละเอียด โปรดทราบว่าวงจรขยายสัญญาณเหล่านี้จัดอยู่ในกลุ่มการใช้งานแบบไม่เชิงเส้น
วงจรขยายสัญญาณลอการิทึมหรือวงจรขยายสัญญาณลอการิทึมคือวงจรอิเล็กทรอนิกส์ที่สร้างสัญญาณเอาต์พุตซึ่งแปรผันตรงกับลอการิทึมของสัญญาณอินพุตที่ป้อนเข้ามา ส่วนนี้จะกล่าวถึงวงจรขยายสัญญาณลอการิทึมที่ใช้ตัวขยายสัญญาณปฏิบัติการ (op-amp) โดยละเอียด
วงจรขยายสัญญาณลอการิทึมแบบใช้ตัวขยายสัญญาณปฏิบัติการ (op-amp) จะสร้างแรงดันไฟฟ้าที่เอาต์พุต ซึ่งเป็นสัดส่วนกับลอการิทึมของแรงดันไฟฟ้าที่ป้อนเข้าตัวต้านทานที่เชื่อมต่อกับขั้วกลับเฟสแผนภาพวงจรของวงจรขยายสัญญาณลอการิทึมแบบใช้ตัวขยายสัญญาณปฏิบัติการแสดงอยู่ในรูปต่อไปนี้ −
ในวงจรข้างต้น ขั้วอินพุตแบบไม่กลับเฟสของโอเปอเรชันแอมพลิฟายเออร์ต่อลงกราวด์ นั่นหมายความว่าไม่มีแรงดันไฟฟ้าป้อนเข้าที่ขั้วอินพุตแบบไม่กลับเฟสของโอเปอเรชันแอมพลิฟายเออร์
ตามหลักการลัดวงจรเสมือน แรงดันไฟฟ้าที่ขั้วอินพุตแบบกลับเฟสของออปแอมป์จะเท่ากับแรงดันไฟฟ้าที่ขั้วอินพุตแบบไม่กลับเฟส ดังนั้น แรงดันไฟฟ้าที่ขั้วอินพุตแบบกลับเฟสจึงเท่ากับศูนย์โวลต์
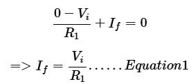
สมการโหนดที่จุดต่ออินพุตกลับเฟสคือ −

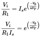
ต่อไปนี้คือสมการสำหรับกระแสไฟฟ้าที่ไหลผ่านไดโอด เมื่ออยู่ในสภาวะไบแอสตรง −

ที่ไหน,
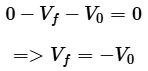
สม การ KVL รอบวงจรป้อนกลับของออปแอมป์จะเป็น −

แทนค่าของ Vf ในสมการที่ 2 เราจะได้ −

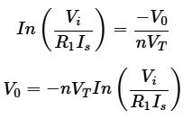
สังเกตว่าพจน์ด้านซ้ายของสมการที่ 1 และสมการที่ 3 เหมือนกัน ดังนั้น ให้เทียบพจน์ด้านขวาของสมการทั้งสองดังแสดงด้านล่าง −

เมื่อใช้ลอการิทึมธรรมชาติกับทั้งสองข้าง เราจะได้ −

โปรดสังเกตว่าในสมการข้างต้น พารามิเตอร์ n, VT และ Is เป็นค่าคงที่ ดังนั้น แรงดันเอาต์พุต V0 จะเป็นสัดส่วนกับลอการิทึมธรรมชาติของแรงดันอินพุต Vi สำหรับค่าความต้านทาน R1 ที่คงที่
ดังนั้น วงจรขยายสัญญาณลอการิทึมแบบใช้โอปแอมป์ที่กล่าวถึงข้างต้นจะสร้างเอาต์พุตที่เป็นสัดส่วนกับลอการิทึมธรรมชาติของแรงดันอินพุต VT เมื่อ R1Is=1V
โปรดสังเกตว่าแรงดันเอาต์พุต V0 มีเครื่องหมายลบ ซึ่งแสดงว่ามีความแตกต่างของเฟส 1800 องศา ระหว่างอินพุตและเอาต์พุต
วงจร ขยายสัญญาณแอนติลอการิทึมหรือ วงจรขยายสัญญาณแอนติล็อกคือวงจรอิเล็กทรอนิกส์ที่สร้างเอาต์พุตซึ่งเป็นสัดส่วนกับค่าแอนติลอการิทึมของสัญญาณอินพุตที่ป้อนเข้ามา ส่วนนี้จะกล่าวถึงวงจรขยายสัญญาณแอนติลอการิทึมที่ใช้ตัวขยายสัญญาณปฏิบัติการ (op-amp) โดยละเอียด
วงจรขยายสัญญาณแบบแอนติลอการิทึมที่ใช้ตัวขยายสัญญาณปฏิบัติการ (op-amp) จะสร้างแรงดันไฟฟ้าที่เอาต์พุต ซึ่งเป็นสัดส่วนกับค่าแอนติลอการิทึมของแรงดันไฟฟ้าที่ป้อนเข้าไดโอดที่เชื่อมต่อกับขั้วกลับเฟสของวงจร
แผนผัง วงจร ของตัวขยายสัญญาณแบบแอนติลอการิทึมที่ใช้ตัวขยายสัญญาณปฏิบัติการ (op-amp) แสดงอยู่ในรูปต่อไปนี้ −

แสดงด้านบน ขั้วอินพุตแบบไม่กลับเฟสของโอเปอเรชันแอมพลิฟายเออร์ต่อลงกราวด์ ซึ่งหมายความว่าไม่มีแรงดันไฟฟ้าป้อนเข้าที่ขั้วอินพุตแบบไม่กลับเฟส
ตาม หลักการลัดวงจรเสมือน แรงดันไฟฟ้าที่ขั้วอินพุตแบบกลับเฟสของโอเปอเรชันแอมพลิฟายเออร์จะเท่ากับแรงดันไฟฟ้าที่ขั้วอินพุตแบบไม่กลับเฟส ดังนั้น แรงดันไฟฟ้าที่ขั้วอินพุตแบบกลับเฟสจึงเท่ากับศูนย์โวลต์
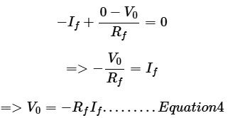
สม การโหนด ที่จุดต่ออินพุตกลับเฟสคือ −

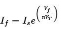
เรารู้ว่าสมการสำหรับกระแสที่ไหลผ่านไดโอด เมื่ออยู่ในสภาวะไบแอสตรง จะเป็นดังนี้ −

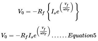
แทนค่า If ลงในสมการที่ 4 เราจะได้

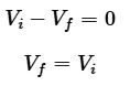
สมการ KVL ที่ด้านอินพุตของขั้วกลับเฟสของออปแอมป์จะเป็นดังนี้

เมื่อแทนค่าของ ในสมการที่ 5 เราจะได้ −

โปรดทราบว่า ในสมการข้างต้น พารามิเตอร์ n, VT และ Is เป็นค่าคงที่ ดังนั้น แรงดันเอาต์พุต V0 จะเป็นสัดส่วนกับค่าผกผันลอการิทึมธรรมชาติ (เลขชี้กำลัง) ของแรงดันอินพุต Vi สำหรับค่าความต้านทานป้อนกลับ Rf ที่คงที่
ดังนั้น วงจรขยายสัญญาณแบบผกผันลอการิทึมที่ใช้โอเปอเรชันแอมพลิฟายเออร์ที่กล่าวถึงข้างต้น จะสร้างเอาต์พุตที่เป็นสัดส่วนกับค่าผกผันลอการิทึมธรรมชาติ (เลขชี้กำลัง) ของแรงดันอินพุต Vi
เมื่อ RfIs=1V สังเกตว่าแรงดันเอาต์พุต V0 มีเครื่องหมายลบ ซึ่งแสดงว่ามีเฟสต่างกัน 180 องศา ระหว่างอินพุตและเอาต์พุต