
มาเรียนรู้เรื่องวงจรขยายสัญญาณแบบไม่กลับเฟสกันดีกว่า
การกำหนดค่าวงจรขยายสัญญาณปฏิบัติการแบบไม่กลับเฟสเป็นวงจรขยายสัญญาณชนิดหนึ่งที่มีแรงดันเอาต์พุตอยู่ในเฟสเดียวกับแรงดันอินพุตเนื่องจากข้อเสนอแนะเชิงบวก
สำหรับ การกำหนดค่า แอมพลิฟายเออร์ปฏิบัติการแบบไม่กลับเฟสสัญญาณแรงดันไฟฟ้าขาเข้า (V IN ) จะถูกป้อนโดยตรงไปยังขั้วอินพุตแบบไม่กลับเฟส (+) ส่งผลให้สัญญาณเอาต์พุตของออปแอมป์มีเฟส "in-phase" กับสัญญาณอินพุตของออปแอมป์เอง ดังนั้นค่าเกนแรงดันไฟฟ้าขาออกของแอมพลิฟายเออร์จึงมีค่าเป็น "บวก" และตรงข้ามกับการกำหนดค่าแอมพลิฟายเออร์แบบกลับเฟสเดิม
การควบคุมป้อนกลับของแอมพลิฟายเออร์ปฏิบัติการแบบไม่กลับด้านทำได้โดยการนำสัญญาณแรงดันไฟฟ้าขาออกส่วนเล็กๆ กลับไปยังขั้วอินพุตแบบกลับด้าน (-) ผ่านเครือข่ายตัวแบ่งแรงดันไฟฟ้า Rƒ – R2 ซึ่งจะทำให้เกิดการป้อนกลับเชิงลบอีกครั้ง
การกำหนดค่าแบบวงปิดนี้จะสร้างวงจรขยายสัญญาณแบบไม่กลับเฟสที่มีเสถียรภาพดีมาก มีอิมพีแดนซ์อินพุตสูงมาก Rin เข้าใกล้อินฟินิตี้ เนื่องจากไม่มีกระแสไหลเข้าสู่ขั้วอินพุตบวก (เงื่อนไขในอุดมคติ) และอิมพีแดนซ์เอาต์พุตต่ำ เส้นทางดังที่แสดงด้านล่าง

ในบทช่วยสอนเรื่อง Inverting Amplifier ก่อนหน้านี้ เราได้กล่าวไว้ว่าสำหรับออปแอมป์ในอุดมคติ“ไม่มีกระแสไหลเข้าขั้วอินพุต”ของเครื่องขยายเสียง และ“V1 เท่ากับ V2 เสมอ”ทั้งนี้เนื่องจากจุดเชื่อมต่อของสัญญาณอินพุตและสัญญาณป้อนกลับ (V1) มีศักย์ไฟฟ้าเท่ากัน
กล่าวอีกนัยหนึ่ง จุดเชื่อมต่อคือจุดรวมของ “โลกเสมือน” เนื่องจากโหนดโลกเสมือนนี้ ตัวต้านทาน Rƒ และ R2 จึงสร้างเครือข่ายตัวแบ่งศักย์ไฟฟ้าแบบง่าย ๆ ข้ามวงจรขยายแบบไม่กลับเฟส โดยค่าเกนแรงดันไฟฟ้าของวงจรถูกกำหนดโดยอัตราส่วนของ R2 และ Rƒ ดังแสดงด้านล่าง

จากนั้นใช้สูตรคำนวณแรงดันเอาต์พุตของเครือข่ายตัวแบ่งศักย์ เราสามารถคำนวณค่าเกนแรงดันวงปิด ( A V ) ของเครื่องขยายสัญญาณแบบไม่กลับด้านได้ดังนี้

จากนั้นค่าเกนแรงดันไฟฟ้าแบบวงปิดของการกำหนดค่าเครื่องขยายสัญญาณปฏิบัติการแบบไม่กลับด้านจะถูกกำหนดดังนี้:

จากสมการข้างต้นจะเห็นได้ว่าค่าเกนวงปิดโดยรวมของวงจรขยายแบบไม่กลับเฟสจะมากกว่าเสมอ แต่ไม่น้อยกว่าหนึ่ง (หนึ่ง) และจะเป็นค่าบวกโดยธรรมชาติ และกำหนดโดยอัตราส่วนของค่าตัวต้านทานสองตัว คือ Rƒ และ R2
หากค่าของตัวต้านทานป้อนกลับ Rƒ เป็นศูนย์ ค่าเกนของวงจรขยายสัญญาณจะเท่ากับหนึ่งพอดี (หนึ่ง) หากตัวต้านทาน R2 เป็นศูนย์ ค่าเกนจะเข้าใกล้อนันต์ อย่างไรก็ตาม ในทางปฏิบัติ ค่าเกนแรงดันไฟฟ้าจะถูกจำกัดอยู่ที่ค่าเกนเชิงอนุพันธ์แบบวงเปิดของวงจรขยายสัญญาณปฏิบัติการ (A O )
เราสามารถแปลงการกำหนดค่าเครื่องขยายสัญญาณปฏิบัติการแบบอินเวิร์ทติ้งเป็นการกำหนดค่าเครื่องขยายสัญญาณแบบไม่อินเวิร์ทติ้งได้อย่างง่ายดาย เพียงแค่เปลี่ยนการเชื่อมต่ออินพุตดังแสดง

หากเราสร้างตัวต้านทานป้อนกลับ Rƒ เท่ากับศูนย์ (Rƒ = 0) และตัวต้านทาน R2 เท่ากับอนันต์ (R2 = ∞) วงจรที่ได้จะมีค่าเกนคงที่เท่ากับ “1” (หนึ่ง) เนื่องจากแรงดันเอาต์พุตทั้งหมดถูกป้อนกลับไปยังขั้วอินพุตอินเวอร์ติง (ป้อนกลับเชิงลบ) ผ่านการลัดวงจรระหว่างเอาต์พุตและอินพุต
การกำหนดค่าพื้นฐานนี้จะทำให้เกิดวงจรขยายสัญญาณแบบไม่กลับเฟสชนิดพิเศษที่เรียกว่าVoltage Follower ซึ่งต่อมาจะกลายเป็นหนึ่งใน หน่วยการสร้างออปแอมป์พื้นฐานมากมายที่เรียกว่า "unity gain buffer"
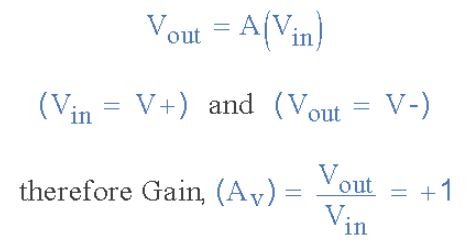
เนื่องจากสัญญาณอินพุตเชื่อมต่อโดยตรงกับอินพุตแบบไม่กลับด้านของเครื่องขยายเสียง สัญญาณเอาต์พุตจึงไม่กลับด้าน ส่งผลให้แรงดันเอาต์พุตเท่ากับแรงดันอินพุต ดังนั้น Vout = Vin วงจรโฟลโลเวอร์แรงดันไฟฟ้าจึงเหมาะอย่างยิ่งสำหรับการเป็นแหล่งจ่ายแรงดันคงที่หรือตัวควบคุมแรงดันไฟฟ้า เนื่องจากมีคุณสมบัติแยกสัญญาณอินพุตและเอาต์พุต
ข้อดีของการกำหนดค่าฟอลโลเวอร์แรงดันไฟฟ้าที่มีอัตราขยายหนึ่งคือสามารถใช้ได้เมื่อการจับคู่ค่าอิมพีแดนซ์หรือการแยกวงจรมีความสำคัญมากกว่าการขยายแรงดันไฟฟ้าหรือกระแสไฟฟ้า เนื่องจากการกำหนดค่านี้จะรักษาแรงดันไฟฟ้าสัญญาณอินพุตที่ขั้วเอาต์พุต
นอกจากนี้ อิมพีแดนซ์อินพุตของวงจรโฟลโลเวอร์แรงดันไฟฟ้ายังสูงมาก โดยทั่วไปจะสูงกว่า 1 เมกะโอห์ม เนื่องจากมีค่าเท่ากับค่าความต้านทานอินพุตของแอมพลิฟายเออร์ปฏิบัติการคูณด้วยค่าเกน (Rin x A O ) อิมพีแดนซ์เอาต์พุตของออปแอมป์มีค่าต่ำมาก เนื่องจากสมมติว่าออปแอมป์มีสภาวะที่เหมาะสม จึงจะไม่ได้รับผลกระทบจากการเปลี่ยนแปลงโหลด

ในการกำหนดค่าวงจรที่ไม่กลับเฟสนี้ อิมพีแดนซ์อินพุต Rin จะเพิ่มขึ้นเป็นอินฟินิตี้ ในขณะที่อิมพีแดนซ์ป้อนกลับ Rƒ จะลดลงเป็นศูนย์
เนื่องจากเอาต์พุตเชื่อมต่อโดยตรงกับขั้วอินพุตอินเวิร์ตติ้งเชิงลบ ค่าป้อนกลับจึงเป็น 100% ดังนั้น Vin จึงเท่ากับ Vout พอดี ทำให้มีอัตราขยายคงที่ 1 หรือ 1 เมื่อแรงดันไฟฟ้าอินพุต Vin ถูกจ่ายให้กับอินพุตที่ไม่อินเวิร์ตติ้ง อัตราขยายแรงดันไฟฟ้าของเครื่องขยายเสียงจึงถูกกำหนดเป็น:

เนื่องจากไม่มีกระแสไหลเข้าสู่ขั้วอินพุตแบบไม่กลับเฟส อิมพีแดนซ์อินพุตจึงเป็นอนันต์ (สภาวะที่เหมาะสม) ดังนั้นกระแสจะไหลผ่านลูปป้อนกลับเป็นศูนย์ ดังนั้น ค่าความต้านทานใดๆ ก็สามารถใส่ลงในลูปป้อนกลับได้โดยไม่ส่งผลกระทบต่อคุณลักษณะของวงจร เนื่องจากไม่มีกระแสไหลผ่าน แรงดันตกคร่อมวงจรจึงเป็นศูนย์ ส่งผลให้สูญเสียพลังงานเป็นศูนย์
เนื่องจากค่าอิมพีแดนซ์อินพุตสูงมาก จึงสามารถใช้บัฟเฟอร์ค่าเกนหนึ่ง (โฟลโลเวอร์แรงดันไฟฟ้า) เพื่อให้ได้ค่าเกนพลังงานสูง เนื่องจากพลังงานส่วนเกินมาจากรางจ่ายไฟของออปแอมป์ และผ่านเอาต์พุตของออปแอมป์ไปยังโหลด ไม่ใช่มาจากอินพุตโดยตรง
อย่างไรก็ตาม ในวงจรบัฟเฟอร์เกนเอกภาพที่แท้จริงส่วนใหญ่นั้น จะมีกระแสไฟรั่วและความจุปรสิตเกิดขึ้น ดังนั้นจึงต้องใช้ตัวต้านทานค่าต่ำ (โดยทั่วไปคือ 1kΩ) ในลูปป้อนกลับเพื่อช่วยลดผลกระทบของกระแสไฟรั่วเหล่านี้ ซึ่งจะทำให้เกิดความเสถียร โดยเฉพาะอย่างยิ่งหากเครื่องขยายสัญญาณปฏิบัติการเป็นประเภทป้อนกลับกระแส
วงจรฟอลโลเวอร์แรงดันไฟฟ้าหรือบัฟเฟอร์เกนหนึ่งเป็นวงจรขยายสัญญาณแบบ ไม่กลับเฟสชนิดพิเศษและมีประโยชน์มากซึ่งมักใช้ในอุปกรณ์อิเล็กทรอนิกส์เพื่อแยกวงจรออกจากกัน โดยเฉพาะอย่างยิ่งในตัวกรองแบบแอคทีฟตัวแปรสถานะลำดับสูงหรือSallen-Keyเพื่อแยกขั้นตอนตัวกรองหนึ่งออกจากอีกขั้นตอนหนึ่ง
ความคิดสุดท้าย ค่าเกนแรงดันไฟฟ้าแบบวงปิดของวงจรโฟลโลเวอร์คือ "1" หรือ 1 ดังนั้น ค่าเกนแรงดันไฟฟ้าแบบวงเปิดของวงจรขยายสัญญาณแบบออปติคัลที่ไม่มีสัญญาณป้อนกลับจึงเป็นค่าอนันต์ดังนั้น ด้วยการเลือกส่วนประกอบของสัญญาณป้อนกลับอย่างระมัดระวัง เราสามารถควบคุมค่าเกนที่สร้างขึ้นโดยวงจรขยายสัญญาณแบบออปติคัลแบบไม่กลับเฟสได้ตั้งแต่ 1 ถึงอนันต์