ค้นพบขั้นตอนสําคัญในการออกแบบและคํานวณตัวแปลงเรโซแนนซ์ LLC สําหรับอุปกรณ์อิเล็กทรอนิกส์กําลังสูงที่ทันสมัย
ตัวแปลงเรโซแนนซ์ LLC เป็นตัวแปลงไฟ DC-to-DC ชนิดหนึ่งที่ใช้กันอย่างแพร่หลายในการใช้งานอิเล็กทรอนิกส์เพื่อการแปลงพลังงานที่มีประสิทธิภาพ ใช้วงจรถังเรโซแนนซ์ที่ประกอบด้วยตัวเหนี่ยวนํา (L) และตัวเก็บประจุสองตัว (C) เพื่อแปลงแรงดันไฟฟ้าขาเข้าเป็นแรงดันขาออกที่แตกต่างกัน
การทํางานแบบเรโซแนนซ์ช่วยให้สามารถสลับแรงดันไฟฟ้าเป็นศูนย์ (ZVS) หรือการสลับกระแสเป็นศูนย์ (ZCS) ลดการสูญเสียการสลับและปรับปรุงประสิทธิภาพโดยเฉพาะอย่างยิ่งภายใต้สภาวะโหลดที่แตกต่างกัน
ตัวแปลงเรโซแนนซ์ LLC ได้รับความสนใจอย่างมากในอุปกรณ์อิเล็กทรอนิกส์กําลัง เนื่องจากความสามารถในการตอบสนองความต้องการด้านประสิทธิภาพของการออกแบบแหล่งจ่ายไฟที่ทันสมัย ในบรรดาตระกูลโทโพโลยีตัวแปลงเรโซแนนซ์ที่หลากหลาย LLC โดดเด่นในฐานะหนึ่งในตระกูลที่โดดเด่นที่สุด
ถังเรโซแนนซ์ซึ่งเป็นรากฐานของตัวแปลง LLC เป็นวงจรที่ประกอบด้วยตัวเหนี่ยวนําและตัวเก็บประจุที่แกว่งที่ความถี่เฉพาะที่เรียกว่าความถี่เรโซแนนซ์ ลักษณะเฉพาะของถังเรโซแนนซ์นี้ช่วยให้ตัวแปลง LLC สามารถบรรลุความถี่การสลับที่สูงขึ้น (fSW) และลดการสูญเสียการสลับ
ในการใช้งานพลังงานสูงและมีประสิทธิภาพสูงตัวแปลงไฟ DC/DC โหมดสวิตช์พร้อมตัวแปลงเรโซแนนซ์ LLC นั้นได้เปรียบเป็นพิเศษ เหมาะอย่างยิ่งสําหรับระบบจ่ายไฟที่มีส่วนประกอบที่ละเอียดอ่อน (เช่น อุปกรณ์อิเล็กทรอนิกส์สําหรับผู้บริโภคระดับไฮเอนด์) หรือการทํางานที่ต้องใช้พลังงาน (เช่น การชาร์จรถยนต์ไฟฟ้า)
ตัวแปลง LLC ประกอบด้วยบล็อกสําคัญสี่บล็อก: สวิตช์ไฟ ถังเรโซแนนซ์ หม้อแปลง และวงจรเรียงกระแสไดโอด (ดังแสดงในรูปที่ 1) กระบวนการเริ่มต้นด้วยสวิตช์ไฟ MOSFET ที่แปลงแรงดันไฟฟ้ากระแสตรงอินพุตเป็นคลื่นสี่เหลี่ยมความถี่สูง คลื่นสี่เหลี่ยมนี้จะเข้าสู่ถังเรโซแนนซ์ ซึ่งจะผ่านกระบวนการกําจัดฮาร์มอนิก ส่งผลให้เกิดคลื่นไซน์ที่มีความถี่พื้นฐาน
คลื่นไซน์จะถูกส่งไปยังด้านทุติยภูมิของตัวแปลงผ่านหม้อแปลงความถี่สูง หม้อแปลงนี้มีบทบาทสําคัญในการปรับขนาดแรงดันไฟฟ้า เพื่อให้มั่นใจว่าตรงตามข้อกําหนดเฉพาะของแอปพลิเคชัน ในที่สุดวงจรเรียงกระแสไดโอดจะแปลงคลื่นไซน์เป็นเอาต์พุต DC ที่เสถียร
ความสามารถที่โดดเด่นของตัวแปลง LLC ในการรักษาประสิทธิภาพสูงแม้ในระดับพลังงานที่สูงมากเกิดจากลักษณะเสียงสะท้อน ลักษณะเรโซแนนซ์นี้ช่วยให้สามารถสลับแบบนุ่มนวลได้ทั้งในด้านหลักและด้านรองของตัวแปลง ซึ่งนําไปสู่ประสิทธิภาพที่เพิ่มขึ้นโดยการลดการสูญเสียการสลับ
นอกเหนือจากการประหยัดพื้นที่บอร์ดแล้วโทโพโลยี LLC ยังช่วยลดความจําเป็นในการเหนี่ยวนําเอาท์พุตทําให้ตัวเหนี่ยวนําทั้งหมดสามารถรวมเข้ากับโครงสร้างแม่เหล็กเดียวช่วยลดพื้นที่และต้นทุน การผสานรวมนี้ยังช่วยเพิ่มความเข้ากันได้ทางแม่เหล็กไฟฟ้าโดยลดความซับซ้อนและลดต้นทุนในการป้องกันโครงสร้างเดียวเมื่อเทียบกับสามโครงสร้าง
สวิตช์ไฟสามารถนําไปใช้ในโทโพโลยีแบบฟูลบริดจ์หรือฮาล์ฟบริดจ์ ซึ่งแต่ละแบบจะส่งผลให้มีรูปคลื่นเอาต์พุตที่ไม่ซ้ํากัน (รูปที่ 2)
ความแตกต่างหลักระหว่างโทโพโลยีเหล่านี้อยู่ที่การสร้างรูปคลื่นเอาต์พุต โทโพโลยีแบบฟูลบริดจ์สร้างคลื่นสี่เหลี่ยมที่ไม่มีออฟเซ็ต DC และแอมพลิจูดเท่ากับแรงดันไฟฟ้าขาเข้า (VIN) ในทางกลับกันโทโพโลยีแบบฮาล์ฟบริดจ์สร้างคลื่นสี่เหลี่ยมจัตุรัสที่มีออฟเซ็ต DC เท่ากับ (VIN / 2) ส่งผลให้ครึ่งหนึ่งของแอมพลิจูดของคลื่นบริดจ์เต็ม
โทโพโลยีแต่ละแบบมีข้อดีและข้อเสียของตัวเอง โทโพโลยีแบบฟูลบริดจ์ต้องการทรานซิสเตอร์มากขึ้น นอกจากนี้ จํานวนทรานซิสเตอร์ที่เพิ่มขึ้นยังทําให้เกิดความต้านทานอนุกรมที่สูงขึ้น (RDS(ON)) ซึ่งอาจนําไปสู่การสูญเสียการนําไฟฟ้าที่เพิ่มขึ้น ในทางกลับกันการใช้งานแบบฟูลบริดจ์จะลดอัตราส่วนการหมุนของหม้อแปลงที่จําเป็น (N) ลงครึ่งหนึ่งซึ่งจะช่วยลดการสูญเสียทองแดงในหม้อแปลง
ในทางตรงกันข้ามโทโพโลยีแบบฮาล์ฟบริดจ์นั้นคุ้มค่ากว่าในการใช้งานและให้ประโยชน์ในการลดกระแส RMS ทั่วทั้งตัวเก็บประจุประมาณ 15% อย่างไรก็ตาม มันยังทําให้เกิดการสูญเสียการสลับที่สูงขึ้น
เมื่อพิจารณาถึงการแลกเปลี่ยนเหล่านี้ ขอแนะนําให้ใช้โทโพโลยีสวิตช์ไฟแบบฮาล์ฟบริดจ์สําหรับการใช้งานที่มีกําลังไฟต่ํากว่า 1kW ในขณะที่โทโพโลยีแบบฟูลบริดจ์เป็นที่ต้องการสําหรับการใช้งานที่ต้องการพลังงานที่สูงขึ้น
ถังเรโซแนนซ์ประกอบด้วยตัวเก็บประจุเรโซแนนซ์ (CR) และตัวเหนี่ยวนําสองตัว ได้แก่ ตัวเหนี่ยวนําเรโซแนนซ์ (LR) แบบอนุกรมกับตัวเก็บประจุและหม้อแปลง และตัวเหนี่ยวนําแม่เหล็ก (LM) แบบขนาน จะกรองฮาร์โมนิกของคลื่นสี่เหลี่ยมออก โดยส่งออกคลื่นไซน์ของความถี่การสลับพื้นฐานไปยังอินพุตของหม้อแปลง

อัตราขยายของถังเรโซแนนซ์จะแตกต่างกันไปตามความถี่และโหลดที่ใช้กับด้านทุติยภูมิ (รูปที่ 4) นักออกแบบต้องปรับแต่งพารามิเตอร์เหล่านี้เพื่อให้แน่ใจว่าคอนเวอร์เตอร์ทํางานได้อย่างมีประสิทธิภาพในโหลดที่หลากหลายโดยการออกแบบอัตราขยายของถังให้เกิน 1 สําหรับค่าโหลดทั้งหมด

ช่วงการทํางานที่กว้างและประสิทธิภาพสูงของตัวแปลง LLC เกิดจากตัวเหนี่ยวนําคู่ของถังเรโซแนนซ์ ลองตรวจสอบว่าสิ่งนี้ทํางานอย่างไรโดยพิจารณาการตอบสนองของถังต่อภาระหนักและเบา ขึ้นอยู่กับตัวเหนี่ยวนํา
รูปที่ 5 แสดงอัตราขยายของถังเรโซแนนซ์สําหรับโหลดต่างๆ หากประกอบด้วยตัวเก็บประจุเรโซแนนซ์และตัวเหนี่ยวนําแม่เหล็กเพียงอย่างเดียว เมื่อโหลดเบา จุดสูงสุดที่ชัดเจนในการขยายของถังเรโซแนนซ์จะเห็นได้ชัด อย่างไรก็ตาม อัตราขยายสําหรับงานหนักไม่ได้ถึงจุดสูงสุด แต่จะแสดงการตอบสนองที่ลดลงและบรรลุความสามัคคีที่ความถี่สูงมากเท่านั้น

หากถังเรโซแนนซ์ประกอบด้วยตัวเหนี่ยวนําเรโซแนนซ์ (LR) เพียงอย่างเดียวในอนุกรมกับตัวเก็บประจุเรโซแนนซ์พฤติกรรมจะแตกต่างกัน อัตราขยายไม่เกิน 1 แต่เมื่อโหลดหนักที่สุดถังจะบรรลุความสามัคคีได้เร็วกว่ามากเมื่อเทียบกับตัวเหนี่ยวนําแบบขนาน

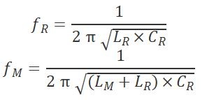
ด้วยการใช้ตัวเหนี่ยวนําทั้งสองในถังเรโซแนนซ์การตอบสนองความถี่ที่เกิดขึ้นจะช่วยให้มั่นใจได้ว่าตัวแปลงสามารถตอบสนองต่อช่วงโหลดที่กว้างขึ้นได้อย่างเพียงพอนอกจากนี้ยังสามารถเปิดใช้งานการควบคุมที่เสถียรสําหรับช่วงโหลดทั้งหมด (ดูรูปที่ 4) ถัง LLC ที่ได้มีความถี่เรโซแนนซ์สองความถี่ (f R และ f M ) คํานวณด้วยสมการ (1) และสมการ (2) ตามลําดับ

การตอบสนองอัตราขยายของถังขึ้นอยู่กับพารามิเตอร์สามตัว: โหลดตัวเหนี่ยวนําปกติและความถี่ปกติ
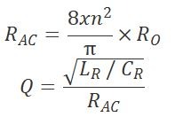
โหลดจะแสดงผ่านปัจจัยด้านคุณภาพ (Q) ซึ่งขึ้นอยู่กับโหลดที่เชื่อมต่อกับเอาต์พุต อย่างไรก็ตามการใช้ค่าของโหลดนั้นไม่ถูกต้องเนื่องจากมีหม้อแปลงและวงจรเรียงกระแสระหว่างเอาต์พุตของถังเรโซแนนซ์และโหลด (ดูรูปที่ 1) ดังนั้นเราต้องใช้ค่าอ้างอิงหลักสําหรับโหลดที่เรียกว่า RAC RAC และ Q สามารถประมาณได้ด้วยสมการ (3) และสมการ (4) ตามลําดับ:

ความถี่ปกติ (fN) คืออัตราส่วนระหว่างความถี่การสลับของ MOSFET (fSW) และความถี่เรโซแนนซ์ของถัง (fR) สามารถคํานวณได้โดยใช้สมการ (5):

ตัวเหนี่ยวนํามาตรฐาน (LN) แสดงเป็นความสัมพันธ์ระหว่างตัวเหนี่ยวนําเรโซแนนซ์และแม่เหล็กโดยประมาณโดยใช้สมการ (6):

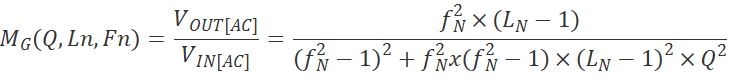
เราสามารถคํานวณการตอบสนองอัตราขยายของตัวแปลงโดยใช้สมการ (7):

โปรดทราบว่าการคํานวณเหล่านี้ขึ้นอยู่กับการวิเคราะห์ฮาร์มอนิกครั้งแรก (FHA) วิธีนี้เหมาะสมเพราะเราถือว่า LLC ทํางานภายในความถี่เรโซแนนซ์ (fR) ด้วยการใช้การวิเคราะห์ฟูริเยร์ เราสามารถแสดงอินพุตของถังเรโซแนนซ์เป็นคลื่นสี่เหลี่ยมที่ประกอบด้วยคลื่นไซน์หลายคลื่นที่มีแอมพลิจูดและความถี่ต่างกัน เนื่องจากถังเรโซแนนซ์กรองคลื่นไซน์ทั้งหมดที่มีความถี่แตกต่างจาก fSW พื้นฐาน เราจึงสามารถเพิกเฉยต่อคลื่นทั้งหมดยกเว้นคลื่นไซน์พื้นฐาน ซึ่งทําให้การวิเคราะห์ของเราง่ายขึ้นอย่างมาก
คุณสมบัติเด่นของตัวแปลง LLC คือความสามารถในการทําการสลับแบบซอฟต์ต์
การสลับแบบซอฟต์มีจุดมุ่งหมายเพื่อลดการสูญเสียการสลับโดยการซิงโครไนซ์สวิตช์อิเล็กทรอนิกส์กับการขึ้นและลงตามธรรมชาติของกระแสและแรงดันไฟฟ้าภายในวงจร สิ่งนี้ทําให้มั่นใจได้ว่าสวิตช์จะเปิดและปิดในจุดที่เหมาะสมที่สุด หากการสลับเกิดขึ้นเมื่อกระแสใกล้เคียงกับศูนย์ จะเรียกว่าการสลับกระแสเป็นศูนย์ (ZCS) หากการสลับเกิดขึ้นที่แรงดันไฟฟ้าต่ํา จะเรียกว่าการสลับแรงดันไฟฟ้าเป็นศูนย์ (ZVS) ตัวแปลง LLC มีความสามารถในการดําเนินการทั้ง ZVS และ ZCS เนื่องจากลักษณะเสียงสะท้อน
รูปที่ 7 แสดงโหมดการทํางานพื้นฐานสี่โหมดของตัวแปลง LLC โหมด 1 และ 3 แสดงถึงการดําเนินงานของ LLC ทั่วไป ซึ่งเราได้พูดคุยไปแล้ว ในโหมด 1 กระแสจะไหลจากแหล่งกําเนิดไปยังถังเรโซแนนซ์และทุติยภูมิของหม้อแปลง (Q1 เปิดอยู่ ในขณะที่ Q2 ปิดอยู่) ในทางกลับกันในโหมด 3 พลังงานที่เหลืออยู่ในถังเรโซแนนซ์จะถูกถ่ายโอนไปยังทุติยภูมิของหม้อแปลงโดยที่กระแสไหลไปในทิศทางตรงกันข้ามเมื่อเทียบกับโหมด 1 (Q1 ปิดและ Q2 เปิดอยู่) ZVS เกิดขึ้นระหว่างโหมด 2 และ 4 เมื่อปิดสวิตช์ทั้งสอง ในช่วงเวลาเหล่านี้กระแสจะไหลผ่านไดโอดของตัวทรานซิสเตอร์ (เช่น Q2 ในโหมด 2 หรือ Q1 ในโหมด 4) ซึ่งเรียกอีกอย่างว่าฟรีวีล
Freewheeling ส่งผลให้แรงดันไฟฟ้าลดลงทั่วทรานซิสเตอร์ (VDS) จนกระทั่งเข้าใกล้ศูนย์ จํากัด โดยแรงดันไฟฟ้าตกน้อยที่สุดของไดโอดของร่างกาย เนื่องจากสิ่งนี้เกิดขึ้นเมื่อสัญญาณเกตทั้งสองอยู่ในระดับต่ําเมื่อถึงเวลาที่วงจรเปลี่ยนจากโหมด 2 เป็นโหมด 3 หรือโหมด 4 เป็นโหมด 1 แรงดันไฟฟ้าข้ามทรานซิสเตอร์จะใกล้เคียงกับศูนย์ซึ่งจะช่วยลดการสูญเสียการสลับ
การพึ่งพาซึ่งกันและกันและความไวของโทโพโลยี LLC ทําให้เหมาะสําหรับเครื่องมือออกแบบที่ใช้ AI ตามเนื้อผ้า การจําลอง การสร้างต้นแบบ และการรอผลลัพธ์เป็นเวลาหลายสัปดาห์เป็นอุปสรรคต่อการเรียนรู้ แพลตฟอร์มสมัยใหม่ เช่น ยุบลูปข้อเสนอแนะทั้งหมดให้เหลือไม่กี่วินาที สํารวจพื้นที่การออกแบบ เปรียบเทียบแม่เหล็ก (ระนาบกับแบบธรรมดา) แบบเรียลไทม์ และสามารถทําซ้ําและส่งออกโมเดลการจําลองได้อย่างรวดเร็วสําหรับการทดสอบเพิ่มเติมใน LTSpice
ด้วยแพลตฟอร์มการออกแบบ AI ที่ทันสมัย วิศวกรสามารถมุ่งเน้นไปที่ข้อมูลเชิงลึกมากกว่าการทําซ้ํา เครื่องมือที่เหมาะสมจะยุบวงจรการออกแบบที่ยาวนานและช่วยให้สามารถสํารวจได้ทันที ทําให้สามารถถามว่า "จะเกิดอะไรขึ้นถ้า" แทนที่จะเป็น "จะทําอย่างไรตอนนี้"
โดยสรุป การทําความเข้าใจว่าถังเรโซแนนซ์ LLC ทํางานอย่างไรเป็นสิ่งสําคัญสําหรับการออกแบบตัวแปลง LLC ลักษณะเรโซแนนซ์ของถังทําให้ตัวแปลง LLC เป็นที่ต้องการอย่างมาก เนื่องจากสามารถรักษาการทํางานที่มีประสิทธิภาพและเสถียรในโหลดและระดับพลังงานที่หลากหลาย อย่างไรก็ตาม เสียงสะท้อนนี้ยังจําเป็นต้องให้ความสนใจอย่างพิถีพิถันกับการออกแบบพารามิเตอร์วงจร เนื่องจากการตอบสนองอัตราขยายของถังได้รับอิทธิพลจากปัจจัยต่างๆ รวมถึงโหลดและจุดทํางานของคอนเวอร์เตอร์ (ดูสมการ (7))