เรียนรู้ว่ากฎของเลนซ์ควบคุมทิศทางของกระแสไฟฟ้าเหนี่ยวนำและรักษาสมดุลพลังงานของจักรวาลได้อย่างสมบูรณ์แบบอย่างไร
กฎการเหนี่ยวนำแม่เหล็กไฟฟ้าของเลนซ์กล่าวว่า ทิศทางของกระแสที่เหนี่ยวนำในตัวนำโดยสนามแม่เหล็กที่เปลี่ยนแปลง (ตามกฎการเหนี่ยวนำแม่เหล็กไฟฟ้าของฟาราเดย์ ) จะเป็นไปในลักษณะที่สนามแม่เหล็กที่เกิดจากกระแส เหนี่ยวนำ จะต้านกับสนามแม่เหล็กที่เปลี่ยนแปลงเริ่มต้นซึ่งเป็นต้นเหตุของกระแสเหนี่ยวนำนั้น ทิศทางของการไหลของกระแสนี้กำหนดโดยกฎมือขวาของเฟลมมิง
การทำความเข้าใจแนวคิดนี้ในตอนแรกอาจเป็นเรื่องยาก ดังนั้นตัวอย่างจะช่วยให้เข้าใจได้ชัดเจนยิ่งขึ้น
โปรดจำไว้ว่าสนามแม่เหล็กที่เกิดจากกระแสไฟฟ้าเหนี่ยวนำจะสร้างสนามแม่เหล็กของตัวมันเองขึ้นมาด้วย
สนามแม่เหล็กนี้จะมีลักษณะที่ต่อต้านสนามแม่เหล็กที่สร้างมันขึ้นมาตั้งแต่แรก เสมอ
ในตัวอย่างด้านล่าง หากสนามแม่เหล็ก “B” เพิ่มขึ้น – ดังที่แสดงใน (1) – สนามแม่เหล็ก เหนี่ยวนำจะกระทำในทิศทางตรงกันข้ามกับสนามแม่เหล็กนั้น

เมื่อสนามแม่เหล็ก “B” ลดลง – ดังแสดงใน (2) – สนามแม่เหล็ก เหนี่ยวนำจะกระทำในทิศทางตรงกันข้ามอีกครั้ง แต่ในครั้งนี้ 'ในทิศทางตรงกันข้าม' หมายความว่ามันกระทำเพื่อเพิ่มสนาม – เนื่องจากมันต่อต้านอัตราการเปลี่ยนแปลงที่ลดลง
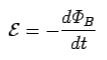
กฎของเลนซ์มีพื้นฐานมาจากกฎการเหนี่ยวนำของฟาราเดย์ กฎของฟาราเดย์กล่าวว่า สนามแม่เหล็กที่เปลี่ยนแปลงจะเหนี่ยวนำให้เกิดกระแสไฟฟ้าในตัวนำ
กฎของเลนซ์บอกทิศทางของกระแสเหนี่ยวนำนี้ ซึ่งต้านกับสนามแม่เหล็กที่เปลี่ยนแปลงในตอนแรกซึ่งเป็นต้นเหตุของกระแสเหนี่ยวนำนั้น โดยในสูตรของกฎของฟาราเดย์จะแสดงด้วยเครื่องหมายลบ ('–')

การเปลี่ยนแปลงของสนามแม่เหล็กสามารถเกิดขึ้นได้โดยการเคลื่อนแม่เหล็กเข้าหาหรือออกจากขดลวด หรือโดยการเคลื่อนขดลวดเข้าหรือออกจากสนามแม่เหล็ก
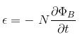
กล่าวอีกนัยหนึ่ง เราสามารถกล่าวได้ว่าขนาดของแรงเคลื่อนไฟฟ้าเหนี่ยวนำในวงจรนั้นแปรผันตรงกับอัตราการเปลี่ยนแปลงของฟลักซ์

กฎของเลนซ์กล่าวว่า เมื่อเกิดแรงเคลื่อนไฟฟ้าเหนี่ยวนำขึ้นจากการเปลี่ยนแปลงของฟลักซ์แม่เหล็กตามกฎของฟาราเดย์ ขั้วของแรงเคลื่อนไฟฟ้าเหนี่ยวนำจะเป็นเช่นนั้น ทำให้เกิดกระแสเหนี่ยวนำซึ่งสนามแม่เหล็กของกระแสเหนี่ยวนำนั้นมีทิศทางตรงข้ามกับสนามแม่เหล็กที่เปลี่ยนแปลงไปในตอนแรกซึ่งเป็นต้นเหตุของการเกิดแรงเคลื่อนไฟฟ้าเหนี่ยวนำนั้น
เครื่องหมายลบที่ใช้ในกฎการเหนี่ยวนำแม่เหล็กไฟฟ้าของฟาราเดย์บ่งชี้ว่า แรงเคลื่อนไฟฟ้าเหนี่ยวนำ (ε) และการเปลี่ยนแปลงของฟลักซ์แม่เหล็ก (δΦB) มีเครื่องหมายตรงข้ามกัน สูตรสำหรับกฎของเลนซ์แสดงไว้ด้านล่าง:

ที่ไหน:
เพื่อให้เป็นไปตามหลักการอนุรักษ์พลังงาน ทิศทางของกระแสไฟฟ้าที่เหนี่ยวนำโดยกฎของเลนซ์จะต้องสร้างสนามแม่เหล็กที่ต้านกับสนามแม่เหล็กที่เหนี่ยวนำมันขึ้นมา อันที่จริง กฎของเลนซ์เป็นผลสืบเนื่องมาจากกฎการอนุรักษ์พลังงาน
คุณอาจสงสัยว่าทำไม ลองจินตนาการดูว่าถ้าไม่ใช่เช่นนั้น และพิจารณาผลที่ตามมา
หากสนามแม่เหล็กที่เกิดจากกระแสไฟฟ้าเหนี่ยวนำนั้นเรียงตัวไปในทิศทางเดียวกับสนามแม่เหล็กเดิม สนามแม่เหล็กทั้งสองจะรวมกัน ก่อให้เกิดสนามแม่เหล็กที่แข็งแกร่งขึ้น
สนามแม่เหล็กที่รวมกันซึ่งมีขนาดใหญ่ขึ้นนี้ จะเหนี่ยวนำให้เกิดกระแสไฟฟ้าอีกกระแสหนึ่งภายในตัวนำ ซึ่งมีขนาดเป็นสองเท่าของกระแสไฟฟ้าเหนี่ยวนำเดิม
และสิ่งนี้ก็จะสร้างสนามแม่เหล็กอีกสนามหนึ่ง ซึ่งจะเหนี่ยวนำให้เกิดกระแสไฟฟ้าอีกกระแสหนึ่ง และเป็นเช่นนี้เรื่อยไป
ดังนั้นเราจะเห็นได้ว่า หากกฎของเลนซ์ไม่ได้กำหนดว่ากระแสเหนี่ยวนำจะต้องสร้างสนามแม่เหล็กที่ต่อต้านสนามที่สร้างมันขึ้นมา เราก็จะลงเอยด้วยวงจรป้อนกลับเชิงบวกที่ไม่มีที่สิ้นสุด ซึ่งจะขัดกับการอนุรักษ์พลังงาน (เนื่องจากเรากำลังสร้างแหล่งพลังงานที่ไม่มีที่สิ้นสุดอย่างแท้จริง)
กฎของเลนซ์ยังสอดคล้องกับกฎการเคลื่อนที่ข้อที่สามของนิวตัน (กล่าวคือ ทุกการกระทำย่อมมีปฏิกิริยาที่เท่ากันและตรงข้ามกันเสมอ)
ถ้ากระแสไฟฟ้าเหนี่ยวนำสร้างสนามแม่เหล็กที่มีทิศทางเท่ากันและตรงข้ามกับสนามแม่เหล็กที่สร้างมันขึ้นมา กระแสไฟฟ้าเหนี่ยวนำนั้นเท่านั้นที่จะสามารถต้านทานการเปลี่ยนแปลงของสนามแม่เหล็กในบริเวณนั้นได้ ซึ่งสอดคล้องกับกฎการเคลื่อนที่ข้อที่สามของนิวตัน
เพื่อให้เข้าใจกฎของเลนซ์ได้ดียิ่งขึ้น เรามาพิจารณาสองกรณีนี้กัน:
กรณีที่ 1 : เมื่อแม่เหล็กเคลื่อนที่เข้าหาขดลวด

เมื่อขั้วเหนือของแม่เหล็กเข้าใกล้ขดลวด ฟลักซ์แม่เหล็กที่เชื่อมโยงกับขดลวดจะเพิ่มขึ้น ตามกฎการเหนี่ยวนำแม่เหล็กไฟฟ้าของฟาราเดย์ เมื่อมีการเปลี่ยนแปลงของฟลักซ์ จะเกิดแรงเคลื่อนไฟฟ้าเหนี่ยวนำ (EMF) และกระแสไฟฟ้าเหนี่ยวนำในขดลวด และกระแสไฟฟ้านี้จะสร้างสนามแม่เหล็กของตัวเองขึ้นมา
ตามกฎของเลนซ์สนามแม่เหล็กที่เกิดขึ้นนี้จะต้านการเพิ่มขึ้นของฟลักซ์ที่ไหลผ่านขดลวด หรือกล่าวได้ว่าต้านการเพิ่มขึ้นของฟลักซ์ และสิ่งนี้จะเป็นไปได้ก็ต่อเมื่อด้านที่ขดลวดเข้าใกล้มีขั้วเหนือ เนื่องจากเรารู้ว่าขั้วที่เหมือนกันจะผลักกัน
เมื่อเรารู้ขั้วแม่เหล็กของด้านขดลวดแล้ว เราสามารถกำหนดทิศทางของกระแสเหนี่ยวนำได้ง่ายๆ โดยใช้กฎมือขวา ในกรณีนี้ กระแสจะไหลในทิศทางทวนเข็มนาฬิกา
กรณีที่ 2 : เมื่อแม่เหล็กเคลื่อนที่ออกห่างจากขดลวด

เมื่อขั้วเหนือของแม่เหล็กเคลื่อนที่ออกห่างจากขดลวด ฟลักซ์แม่เหล็กที่เชื่อมโยงกับขดลวดจะลดลง ตามกฎการเหนี่ยวนำแม่เหล็กไฟฟ้าของฟาราเดย์ จะเกิดแรงเคลื่อนไฟฟ้าและกระแสไฟฟ้าเหนี่ยวนำขึ้นในขดลวด และกระแสไฟฟ้านี้จะสร้างสนามแม่เหล็กของตัวเองขึ้นมา
ตามกฎของเลนซ์ สนามแม่เหล็กที่เกิดขึ้นนี้จะต้านการลดลงของฟลักซ์ที่ไหลผ่านขดลวด หรือกล่าวได้ว่าต้านการลดลงของฟลักซ์ และสิ่งนี้จะเป็นไปได้ก็ต่อเมื่อด้านที่ขดลวดเข้าหามีขั้วใต้ เนื่องจากเรารู้ว่าขั้วต่างกันจะดึงดูดกัน
เมื่อเรารู้ขั้วแม่เหล็กของด้านขดลวดแล้ว เราสามารถกำหนดทิศทางของกระแสเหนี่ยวนำได้ง่ายๆ โดยใช้กฎมือขวา ในกรณีนี้ กระแสจะไหลในทิศทางตามเข็มนาฬิกา
โปรดทราบว่าในการหาทิศทางของสนามแม่เหล็กหรือกระแสไฟฟ้า ให้ใช้กฎมือขวา กล่าวคือ หากวางนิ้วมือขวารอบลวดโดยให้นิ้วหัวแม่มือชี้ไปในทิศทางที่กระแสไฟฟ้าไหล การโค้งงอของนิ้วมือจะแสดงทิศทางของสนามแม่เหล็กที่เกิดจากลวดนั้น

กฎของเลนซ์สามารถกล่าวได้ดังนี้:


การประยุกต์ใช้กฎของเลนซ์ ได้แก่:
กฎของเลนซ์กล่าวว่า ทิศทางของกระแสไฟฟ้าที่เหนี่ยวนำในตัวนำโดยสนามแม่เหล็กที่เปลี่ยนแปลงนั้น จะเป็นไปในทิศทางที่สนามแม่เหล็กที่เกิดจากกระแสไฟฟ้าเหนี่ยวนำจะต้านกับสนามแม่เหล็กที่เปลี่ยนแปลงในตอนแรกซึ่งเป็นต้นเหตุของกระแสไฟฟ้านั้น

กฎของเลนซ์ตั้งชื่อตามนักวิทยาศาสตร์ชาวเยอรมัน เอช.อี. เลนซ์ ในปี ค.ศ. 1834 กฎของเลนซ์สอดคล้องกับกฎการเคลื่อนที่ข้อที่สามของนิวตัน (กล่าวคือ ทุกการกระทำย่อมมีปฏิกิริยาที่เท่ากันและตรงข้ามกันเสมอ) และการอนุรักษ์พลังงาน (กล่าวคือ พลังงานไม่สามารถสร้างขึ้นหรือทำลายได้ ดังนั้นผลรวมของพลังงานทั้งหมดในระบบจึงคงที่)