เรียนรู้ว่าวงจรบริดจ์วีทสโตนปรับสมดุลเพื่อวัดค่าความต้านทานที่ไม่ทราบค่าได้อย่างแม่นยำอย่างเหลือเชื่อได้อย่างไร
วงจรบริดจ์วีทสโตน (Wheatstone Bridge) คือชื่อที่ใช้เรียกวงจรที่ประกอบด้วยตัวต้านทานสี่ตัวที่ต่อกันเป็นรูปทรงเพชร เพื่อวัดค่าความต้านทานไฟฟ้าที่ไม่ทราบค่า โดยมีค่าจุดศูนย์กลางเป็นศูนย์
วงจร บริดจ์ วีทสโตน เป็นวงจรรูปทรงเพชร ซึ่งคิดค้นโดยชาร์ลส์ วีทสโตนเมื่อหลายปีก่อน สามารถใช้ในการวัดค่าความต้านทานที่ไม่ทราบค่าได้อย่างแม่นยำ โดยการปรับสมดุลเครือข่ายตัวแบ่งแรงดันสองเครือข่าย
แม้ว่าในปัจจุบันมัลติมิเตอร์แบบดิจิทัลจะเป็นวิธีที่ง่ายที่สุดในการวัดความต้านทาน แต่ก็ยัง สามารถใช้วงจร บริดจ์วีทสโตน เพื่อเปรียบเทียบความต้านทานที่ไม่ทราบค่ากับความต้านทานที่ทราบค่า เพื่อหาค่าความต้านทานได้อย่างแม่นยำสูง ซึ่งช่วยให้ สามารถวัด ค่าความต้านทานต่ำมาก ๆ ได้อย่างแม่นยำ แม้กระทั่งในระดับมิลลิโอห์ม ( mΩ )
วงจรบริดจ์วีทสโตน (หรือบริดจ์ความต้านทาน) สามารถนำไปใช้ในงานต่างๆ ได้มากมาย และในปัจจุบัน ด้วยแอมพลิฟายเออร์ปฏิบัติการที่ทันสมัย เราสามารถใช้ วงจรบริดจ์วีทสโตน เพื่อเชื่อมต่อทรานสดิวเซอร์และเซ็นเซอร์ต่างๆ เข้ากับวงจรแอมพลิฟายเออร์เหล่านี้ได้
วงจรบริดจ์วีทสโตนนั้นไม่มีอะไรมากไปกว่าการจัดเรียงตัวต้านทานแบบอนุกรม-ขนานอย่างง่ายสองชุดที่เชื่อมต่อระหว่างขั้วจ่ายแรงดันและกราวด์ โดยเมื่อสมดุลแล้วจะได้ความต่างศักย์เป็นศูนย์ระหว่างสองสาขาขนาน
วงจรบริดจ์วีทสโตนมีขั้วอินพุตสองขั้วและขั้วเอาต์พุตสองขั้ว ซึ่งประกอบด้วยตัวต้านทานสี่ตัวที่จัดเรียงในรูปแบบคล้ายเพชรที่คุ้นเคยดังแสดงในภาพ นี่คือลักษณะทั่วไปของการวาดวงจรบริดจ์วีทสโตน
วงจรบริดจ์วีทสโตนพื้นฐาน

เมื่อสมดุลแล้ว วงจรบริดจ์วีทสโตนสามารถวิเคราะห์ได้ง่ายๆ ว่าเป็นวงจรอนุกรมสองชุดที่ต่อขนานกัน ในบทเรียนเรื่อง ตัวต้านทานแบบอนุกรมเราได้เห็นแล้วว่าตัวต้านทานแต่ละตัวในวงจรอนุกรมจะทำให้เกิด แรงดันตกคร่อม (IR voltage drop) อันเป็นผลมาจากกระแสที่ไหลผ่านตามที่กฎของโอห์มกำหนดไว้ ลองพิจารณาวงจรอนุกรมด้านล่างนี้

เนื่องจากตัวต้านทานทั้งสองต่ออนุกรมกัน กระแสไฟฟ้า (i) จึงไหลผ่านตัวต้านทานทั้งสองเท่ากัน ดังนั้น กระแสไฟฟ้าที่ไหลผ่านตัวต้านทานอนุกรมทั้งสองนี้จึงกำหนดได้เป็น: I = V/RT
I = V ÷ R = 12V ÷ (10Ω + 20Ω) = 0.4A (400mA)
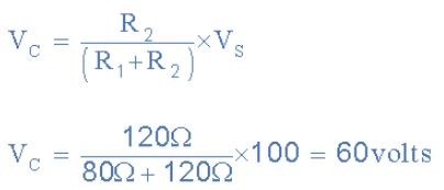
แรงดันไฟฟ้าที่จุด C ซึ่งก็คือแรงดันตกคร่อมตัวต้านทานล่าง R2 นั้น คำนวณได้ดังนี้:
VR2 = I × R2 = 0.4A × 20Ω = 8 โวลต์
จากนั้นเราจะเห็นว่าแรงดันไฟต้นทาง VS ถูกแบ่งระหว่างตัวต้านทานอนุกรมสองตัวตามสัดส่วนโดยตรงของค่าความต้านทาน โดยที่ VR1 = 4V และ VR2 = 8V
นี่คือหลักการพื้นฐานของการแบ่งแรงดัน ซึ่งทำให้เกิดสิ่งที่เรียกกันทั่วไปว่าวงจรแบ่งแรงดันหรือเครือข่ายแบ่งแรงดัน
ถ้าเราเพิ่มวงจรตัวต้านทานแบบอนุกรมอีกวงจรหนึ่ง โดยใช้ค่าตัวต้านทานเดียวกันกับวงจรแรก ต่อขนานกับวงจรแรก จะได้วงจรตัวต้านทานดังต่อไปนี้

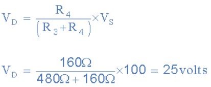
เนื่องจากวงจรอนุกรมที่สองมีค่าความต้านทานเท่ากับวงจรแรก แรงดันไฟฟ้าที่จุด D ซึ่งก็คือแรงดันตกคร่อมตัวต้านทาน R4 จึงจะมีค่าเท่ากับ 8 โวลต์ เมื่อเทียบกับศูนย์ (ขั้วลบของแบตเตอรี่) เนื่องจากแรงดันไฟฟ้าที่จ่ายมาเท่ากัน วงจรความต้านทานทั้งสองจึงเหมือนกันทุกประการ
แต่สิ่งที่สำคัญไม่แพ้กันอีกอย่างหนึ่งก็คือ ความแตกต่างของแรงดันไฟฟ้าระหว่างจุด C และจุด D จะเป็นศูนย์โวลต์ (0V) เนื่องจากทั้งสองจุดมีค่าแรงดันไฟฟ้าเท่ากันที่ 8 โวลต์
ดังนั้น: C = D = 8 โวลต์ ทำให้มีความต่างศักย์ระหว่างกันเท่ากับ: 0 โวลต์
เมื่อเกิดเหตุการณ์เช่นนี้ ทั้งสองด้านของวงจรบริดจ์ขนานจะอยู่ในสภาวะ "สมดุล" เนื่องจากแรงดันไฟฟ้าที่จุด C มีค่าเท่ากับแรงดันไฟฟ้าที่จุด D โดยมีผลต่างเป็นศูนย์
ทีนี้ลองมาพิจารณากันว่าจะเกิดอะไรขึ้นหากเราสลับตำแหน่งของตัวต้านทานสองตัว คือ R3 และ R4 ในวงจรขนานที่สอง เทียบกับ R1 และ R2

เมื่อสลับขั้วตัวต้านทาน R3 และ R4 กระแสไฟฟ้าที่ไหลผ่านวงจรอนุกรมจะยังคงเท่าเดิม และแรงดันไฟฟ้าที่จุด D ซึ่งก็คือแรงดันตกคร่อมตัวต้านทาน R4 จะเป็นดังนี้:
VR4 = 0.4A × 10Ω = 4 โวลต์
ตอนนี้เมื่อ VR4 มีแรงดันตกคร่อม 4 โวลต์ แรงดันต่างระหว่างจุด C และ D จะเท่ากับ 4 โวลต์ เนื่องจาก C = 8 โวลต์ และ D = 4 โวลต์ ดังนั้น แรงดันต่างในครั้งนี้คือ 8 – 4 = 4 โวลต์
ผลจากการสลับตัวต้านทานทั้งสองตัวคือ ทั้งสองด้านหรือ “แขน” ของวงจรขนานจะมีค่าแตกต่างกัน เนื่องจากทำให้เกิดแรงดันตกคร่อมที่แตกต่างกัน เมื่อเป็นเช่นนี้ วงจรขนานจะอยู่ในสภาวะ ไม่สมดุล เนื่องจากแรงดันที่จุด C มีค่าแตกต่างจากแรงดันที่จุด D
จากนั้นเราจะเห็นว่าอัตราส่วนความต้านทานของแขนขนานทั้งสองนี้ คือ ACB และ ADB ส่งผลให้เกิดความต่างศักย์ระหว่าง 0 โวลต์ (สมดุล) และแรงดันไฟฟ้าสูงสุดของแหล่งจ่าย (ไม่สมดุล) และนี่คือหลักการพื้นฐานของ วงจรบริดจ์วีทสโตน
ดังนั้นเราจะเห็นได้ว่าวงจรบริดจ์วีทสโตนสามารถใช้เปรียบเทียบค่าความต้านทานที่ไม่ทราบค่า RX กับค่าความต้านทานอื่นๆ ที่ทราบค่าได้ ตัวอย่างเช่น R1 และ R2 มีค่าคงที่ ในขณะที่ R3 อาจเป็นค่าที่เปลี่ยนแปลงได้
ถ้าเราต่อโวลต์มิเตอร์ แอมมิเตอร์ หรือแกลวาโนมิเตอร์แบบดั้งเดิมระหว่างจุด C และ D แล้วปรับค่าตัวต้านทาน R3 จนกระทั่งมิเตอร์อ่านค่าเป็นศูนย์ จะทำให้แขนทั้งสองข้างสมดุลกัน และค่าของ RX (แทนค่า R4) จะทราบได้ดังแสดงในภาพ
วงจรบริดจ์วีทสโตน

โดยการแทนที่ R4 ด้านบนด้วยตัวต้านทานที่มีค่าที่ทราบหรือไม่ทราบค่าในแขนรับสัญญาณของวงจรบริดจ์วีทสโตนที่ตรงกับ RX และปรับตัวต้านทานตรงข้าม R3 เพื่อ "ปรับสมดุล" วงจรบริดจ์ จะทำให้ได้เอาต์พุตแรงดันศูนย์ จากนั้นเราจะเห็นว่าความสมดุลเกิดขึ้นเมื่อ:
สมการวงจรบริดจ์วีทสโตนที่จำเป็นในการหาค่าความต้านทานที่ไม่ทราบค่า RX ณ สภาวะสมดุล มีดังนี้:

โดยที่ตัวต้านทาน R1 และ R2 เป็นค่าที่ทราบหรือตั้งค่าไว้ล่วงหน้า
วงจรบริดจ์วีทสโตนที่ไม่สมดุลต่อไปนี้ถูกสร้างขึ้น จงคำนวณแรงดันเอาต์พุตที่จุด C และ D และค่าของตัวต้านทาน R4 ที่จำเป็นในการทำให้วงจรบริดจ์สมดุล

สำหรับแขนซีรีส์แรกคือ ACB

สำหรับแขนซีรีส์ที่สองคือ ADB

แรงดันไฟฟ้าที่จุด CD มีค่าดังนี้:

ค่าความต้านทาน R4 ที่จำเป็นในการปรับสมดุลวงจรบริดจ์มีค่าดังนี้:

จากที่กล่าวมาข้างต้น เราได้เห็นแล้วว่า วงจรบริดจ์วีทสโตน มีขั้วต่ออินพุตสองขั้ว (AB) และขั้วต่อเอาต์พุตสองขั้ว (CD)
เมื่อวงจรบริดจ์อยู่ในสภาวะสมดุล แรงดันไฟฟ้าที่ขั้วเอาต์พุตจะเป็น 0 โวลต์ แต่เมื่อวงจรบริดจ์อยู่ในสภาวะไม่สมดุล แรงดันไฟฟ้าเอาต์พุตอาจเป็นบวกหรือลบก็ได้ ขึ้นอยู่กับทิศทางของการไม่สมดุล
วงจรบริดจ์สมดุลมีการใช้งานทางอิเล็กทรอนิกส์ที่มีประโยชน์มากมาย เช่น ใช้ในการวัดการเปลี่ยนแปลงความเข้มของแสง ความดัน หรือความเครียด
เซ็นเซอร์แบบต้านทานที่สามารถใช้ในวงจรบริดจ์วีทสโตน ได้แก่ เซ็นเซอร์แบบต้านทานแสง (LDR), เซ็นเซอร์วัดตำแหน่ง (โพเทนชิโอมิเตอร์), เซ็นเซอร์แบบต้านทานเพียโซ (เกจวัดความเครียด) และเซ็นเซอร์วัดอุณหภูมิ (เทอร์มิสเตอร์) เป็นต้น
วงจรบริดจ์วีทสโตนมีการใช้งานมากมายในการตรวจวัดปริมาณทางกลและทางไฟฟ้าหลากหลายประเภท แต่การใช้งานบริดจ์วีทสโตนที่ง่ายมากอย่างหนึ่งคือการวัดแสงโดยใช้อุปกรณ์ต้านทานแสง โดยแทนที่ตัวต้านทานตัวหนึ่งในวงจรบริดจ์ด้วยตัวต้านทานที่ขึ้นอยู่กับแสง หรือ LDR
LDR หรือที่รู้จักกันในชื่อโฟโตเซลล์แคดเมียมซัลไฟด์ (Cds) เป็นเซนเซอร์แบบต้านทานแบบพาสซีฟที่แปลงการเปลี่ยนแปลงของระดับแสงที่มองเห็นได้เป็นการเปลี่ยนแปลงของความต้านทานและทำให้เกิดแรงดันไฟฟ้า ตัวต้านทานที่ขึ้นอยู่กับแสงสามารถใช้ในการตรวจสอบและวัดระดับความเข้มของแสง หรือตรวจสอบว่าแหล่งกำเนิดแสงเปิดหรือปิดอยู่
โดยทั่วไปแล้ว เซลล์แคดเมียมซัลไฟด์ (CdS) เช่น ตัวต้านทานที่ไวต่อแสง ORP12 จะมีความต้านทานประมาณ 1 เมกะโอห์ม (MΩ) ในที่มืดหรือแสงสลัว ประมาณ 900 Ω ที่ความเข้มแสง 100 ลักซ์ (ซึ่งเป็นลักษณะทั่วไปของห้องที่มีแสงสว่างเพียงพอ) และลดลงเหลือประมาณ 30 Ω ในแสงแดดจ้า
จากนั้นเมื่อความเข้มของแสงเพิ่มขึ้น ความต้านทานจะลดลง โดยการเชื่อมต่อตัวต้านทานที่ไวต่อแสงเข้ากับวงจรบริดจ์วีทสโตนข้างต้น เราสามารถตรวจสอบและวัดการเปลี่ยนแปลงของระดับแสงได้ดังที่แสดงไว้
วงจรตรวจจับแสงอย่างง่าย

โฟโตเซลล์ LDR ต่อเข้ากับวงจรบริดจ์วีทสโตนดังแสดงในภาพ เพื่อสร้างสวิตช์ไวต่อแสงที่จะทำงานเมื่อระดับแสงที่ตรวจจับได้สูงกว่าหรือต่ำกว่าค่าที่ตั้งไว้ล่วงหน้าโดย VR1 ในตัวอย่างนี้ VR1 คือโพเทนชิโอมิเตอร์ขนาด 22k หรือ 47kΩ
วงจรขยายสัญญาณปฏิบัติการ (op-amp) ต่อเป็นวงจรเปรียบเทียบแรงดัน โดยใช้แรงดันอ้างอิง VD ต่อเข้ากับขาที่ไม่กลับเฟส ในตัวอย่างนี้ เนื่องจาก R3 และ R4 มีค่าเท่ากันคือ 10kΩ ดังนั้นแรงดันอ้างอิงที่ตั้งไว้ที่จุด D จะเท่ากับครึ่งหนึ่งของ Vcc นั่นคือ Vcc/2
ตัวต้านทานปรับค่าได้ VR1 ใช้สำหรับตั้งค่าแรงดันไฟกระตุ้น VC ที่ป้อนเข้าอินพุตแบบกลับเฟส และตั้งค่าไว้ที่ระดับแสงที่ต้องการ รีเลย์จะเปิดทำงานเมื่อแรงดันไฟที่จุด C น้อยกว่าแรงดันไฟที่จุด D
การปรับ VR1 จะตั้งค่าแรงดันไฟฟ้าที่จุด C เพื่อปรับสมดุลวงจรบริดจ์ที่ระดับแสงหรือความเข้มแสงที่ต้องการ LDR สามารถเป็นอุปกรณ์แคดเมียมซัลไฟด์ชนิดใดก็ได้ที่มีอิมพีแดนซ์สูงที่ระดับแสงน้อยและอิมพีแดนซ์ต่ำที่ระดับแสงมาก
โปรดทราบว่าวงจรนี้สามารถใช้เป็นวงจรควบคุมการเปิด-ปิดด้วยแสง หรือวงจรควบคุมการเปิด-ปิดด้วยความมืดได้ เพียงแค่สลับตำแหน่งของ LDR และ R3 ในวงจรเท่านั้น
วงจร บริดจ์ วีทสโตน มีประโยชน์มากมายในวงจรอิเล็กทรอนิกส์ นอกเหนือจากการเปรียบเทียบค่าความต้านทานที่ไม่ทราบค่ากับค่าความต้านทานที่ทราบค่าแล้ว เมื่อใช้ร่วมกับตัวขยายสัญญาณปฏิบัติการ วงจรบริดจ์วีทสโตนสามารถใช้ในการวัดและขยายการเปลี่ยนแปลงเล็กน้อยของค่าความต้านทาน (RX) เช่น การเปลี่ยนแปลงความเข้มของแสง ดังที่เราได้เห็นข้างต้น
แต่จริงๆ แล้ววงจรบริดจ์นี้ยังเหมาะสำหรับการวัดการเปลี่ยนแปลงความต้านทานของปริมาณอื่นๆ ที่เปลี่ยนแปลงได้ด้วย ดังนั้น โดยการแทนที่เซ็นเซอร์แสง LDR ที่กล่าวมาข้างต้นด้วยเทอร์มิสเตอร์ เซ็นเซอร์ความดัน เกจวัดความเครียด และทรานสดิวเซอร์อื่นๆ เช่นเดียวกัน รวมถึงการสลับตำแหน่งของ LDR และ VR1 เราก็สามารถนำไปใช้ในแอปพลิเคชันบริดจ์วีทสโตนอื่นๆ ได้หลากหลาย
นอกจากนี้ ยังสามารถใช้เซ็นเซอร์ความต้านทานมากกว่าหนึ่งตัวภายในแขนทั้งสี่ (หรือสาขา) ของบริดจ์ที่เกิดจากตัวต้านทาน R1 ถึง R4 เพื่อสร้างวงจร "ฟูลบริดจ์" "ฮาล์ฟบริดจ์" หรือ "ควอเตอร์บริดจ์" ซึ่งให้การชดเชยความร้อนหรือการปรับสมดุลอัตโนมัติของบริดจ์วีทสโตน