เรียนรู้วิธีที่วงจรอินทิเกรเตอร์แบบออปแอมป์แปลงคลื่นสี่เหลี่ยมให้เป็นสัญญาณลาดชันที่มีความแม่นยำสูง
ตัวขยายสัญญาณปฏิบัติการ (Operational Amplifier) เป็นพื้นฐานที่เหมาะสมที่สุดสำหรับวงจรตัวรวมสัญญาณแบบอนาล็อก เนื่องจากมีกระแสอินพุตแทบเป็นศูนย์ แรงดันเอาต์พุตจึงเป็นค่าอินทิกรัลที่แม่นยำของสัญญาณอินพุต
แม้ว่าจะสามารถสร้างวงจรอินทิเกรเตอร์อย่างง่ายได้โดยใช้เพียงตัวต้านทานและตัวเก็บประจุ แต่ตัวขยายสัญญาณปฏิบัติการช่วยให้ได้ประสิทธิภาพที่ดีกว่ามาก กล่าวคือ สามารถได้ผลลัพธ์การอินทิเกรตที่แท้จริงมากขึ้น
ในวงจรขยายสัญญาณปฏิบัติการส่วนใหญ่ การป้อนกลับที่ใช้ส่วนใหญ่จะเป็นแบบตัวต้านทาน โดยมีเส้นทางตัวต้านทานโดยตรงอย่างน้อยบางส่วนเป็นส่วนหนึ่งของวงจร อย่างไรก็ตาม สำหรับวงจรอินทิเกรเตอร์นั้นไม่เป็นเช่นนั้น ส่วนประกอบที่ให้การป้อนกลับระหว่างเอาต์พุตและอินพุตของขยายสัญญาณปฏิบัติการคือตัวเก็บประจุ
ชื่อของวงจรอินทิเกรเตอร์แบบออปแอมป์บ่งบอกว่ามันทำหน้าที่เทียบเท่ากับฟังก์ชันการอินทิเกรตทางคณิตศาสตร์ในทางอิเล็กทรอนิกส์ ที่จริงแล้ว วงจรอินทิเกรเตอร์อิเล็กทรอนิกส์สามารถใช้ในคอมพิวเตอร์อนาล็อกได้
ในแง่ของการทำงาน วงจรนี้จะสร้างเอาต์พุตที่แปรผันตรงกับค่าอินทิกรัลของแรงดันไฟฟ้าขาเข้าเทียบกับเวลา
นั่นหมายความว่าแรงดันเอาต์พุต ณ เวลาใด ๆ จะถูกกำหนดโดยแรงดันเอาต์พุตเริ่มต้น ระยะเวลาที่แรงดันอินพุตมีอยู่ และค่าของแรงดันอินพุต
หลักการทำงานพื้นฐานของวงจรอินทิเกรเตอร์แสดงไว้ด้านล่าง แม้ว่าจะมีรายละเอียดเปลี่ยนแปลงเล็กน้อยสำหรับวงจรอินทิเกรเตอร์ของโอเปอเรชันแอมพลิฟายเออร์ แต่แนวคิดนี้คือสิ่งที่อยู่เบื้องหลังการทำงานของมัน

จากแผนภาพ จะเห็นได้ว่าในขณะที่อินพุตยังคงเป็นศูนย์ เอาต์พุตก็จะเป็นศูนย์เช่นกัน อย่างไรก็ตาม เมื่อป้อนแรงดันไฟฟ้าแบบขั้นบันไดเข้าไปที่อินพุต เอาต์พุตจะเพิ่มขึ้น เมื่อแรงดันไฟฟ้าแบบขั้นบันไดกลับไปที่ศูนย์ เอาต์พุตจะคงอยู่ที่แรงดันไฟฟ้าครั้งล่าสุดที่ได้รับ
วงจรตัวรวมสัญญาณแบบใช้ตัวขยายสัญญาณปฏิบัติการพื้นฐานประกอบด้วยตัวขยายสัญญาณปฏิบัติการที่มีตัวเก็บประจุอยู่ระหว่างเอาต์พุตและอินพุตแบบกลับเฟส และมีตัวต้านทานจากอินพุตแบบกลับเฟสไปยังอินพุตของวงจรโดยรวม ดังแสดงในภาพ

ประเด็นแรกที่ควรสังเกตคือ เมื่อป้อนสัญญาณเข้าที่อินพุตแบบกลับเฟส เอาต์พุตของวงจรจะเป็นค่าผกผันของวงจรอินทิเกรเตอร์ CR พื้นฐาน

หมายเหตุ: การกลับเฟสของเอาต์พุตเกิดจากการป้อนสัญญาณเข้าที่อินพุตแบบกลับเฟสของออปแอมป์
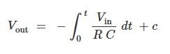
การคำนวณหลักที่จำเป็นสำหรับวงจรนี้คือการหาค่าแรงดันเอาต์พุตสำหรับแรงดันอินพุตที่กำหนดในช่วงเวลาที่กำหนด

ที่ไหน:
Vout = แรงดันเอาต์พุตจากตัวรวมสัญญาณของออปแอมป์
Vin = แรงดันไฟฟ้าขาเข้า
T = เวลาหลังจากเริ่มจ่ายแรงดันไฟฟ้า (หน่วยเป็นวินาที)
R = ค่าความต้านทานในวงจรอินทิเกรเตอร์ หน่วยเป็นโอห์ม
C = ค่าความจุของตัวเก็บประจุอินทิเกรเตอร์ในหน่วยฟารัด
c = คือค่าคงที่ของการอินทิเกรต และในกรณีนี้คือแรงดันเริ่มต้นของเอาต์พุต
เครื่องหมายลบในสมการสะท้อนถึงการกลับเฟสที่เกิดจากการใช้ช่องสัญญาณอินพุตแบบกลับเฟสของออปแอมป์
เป็นที่ชัดเจนว่าเอาต์พุตของตัวรวมสัญญาณไม่สามารถเพิ่มขึ้นอย่างไม่มีที่สิ้นสุดได้ เนื่องจากเอาต์พุตจะมีขีดจำกัด
เอาต์พุตของวงจรอินทิเกรเตอร์แบบออปแอมป์จะถูกจำกัดโดยแรงดันไฟเลี้ยงหรือแรงดันราง และการอิ่มตัวของออปแอมป์เอง กล่าวคือ เอาต์พุตสามารถแกว่งได้ใกล้กับแรงดันรางมากแค่ไหน
ในการออกแบบวงจรเหล่านี้ อาจจำเป็นต้องจำกัดอัตราขยายหรือเพิ่มแรงดันไฟเลี้ยงเพื่อรองรับการเปลี่ยนแปลงของแรงดันไฟขาออกที่อาจเกิดขึ้นได้
ในขณะที่แรงดันไฟฟ้าขาเข้าต่ำและในช่วงเวลาสั้นๆ อาจเป็นที่ยอมรับได้ แต่ต้องระมัดระวังเมื่อออกแบบวงจรที่แรงดันไฟฟ้าขาเข้าคงที่ในระยะเวลานานขึ้น
บางครั้งจำเป็นต้องมีวิธีการที่สามารถรีเซ็ตตัวรวมสัญญาณของแอมป์ปฏิบัติการให้เป็นศูนย์ได้
การเพิ่มฟังก์ชันหรือความสามารถในการรีเซ็ตนั้นทำได้ง่ายมาก เพียงแค่ต่อสวิตช์คร่อมตัวเก็บประจุของวงจรอินทิเกรเตอร์ ซึ่งจะทำให้ตัวเก็บประจุคายประจุและรีเซ็ตวงจรอินทิเกรเตอร์โดยรวม

สวิตช์รีเซ็ตสามารถนำไปใช้งานได้หลายวิธี แน่นอนว่าสามารถใช้สวิตช์เชิงกลแบบง่ายๆ ได้ แต่ก็สามารถใช้สวิตช์เซมิคอนดักเตอร์ได้เช่นกัน โดยทั่วไปแล้วจะเป็นสวิตช์แบบ FET เนื่องจากมีค่าความต้านทานขณะปิดสูงมากและสามารถควบคุมเป็นสวิตช์ในแอปพลิเคชันประเภทนี้ได้ง่ายกว่า
วงจรตัวรวมสัญญาณแบบออปแอมป์ช่วยให้สามารถรวมสัญญาณอินพุตได้อย่างแม่นยำ วงจรนี้ถูกนำไปใช้ในคอมพิวเตอร์อนาล็อกหลายเครื่อง และในปัจจุบัน ฟังก์ชันการรวมสัญญาณยังคงเป็นสิ่งจำเป็นในแอปพลิเคชันอนาล็อกหลายอย่าง ซึ่งวงจรออปแอมป์เป็นโซลูชันที่เหมาะสมที่สุด