เครื่องตรวจจับโฟตอนเดี่ยวหรือตัวนับโฟตอนเดี่ยวเป็นเครื่องตรวจจับที่สามารถจับและบันทึกโฟตอนแต่ละตัวได้ สิ่งนี้มีประโยชน์อย่างยิ่งสําหรับการวัดเช่นสเปกโทรสโกปีที่แก้ไขตามเวลาการวัดอายุการใช้งานเรืองแสงและกล้องจุลทรรศน์ควอนตัมโฟโตนิกส์และแม้แต่เครื่องตรวจจับฟิสิกส์อนุภาคบางชนิด (เช่นในรังสี Cherenkov) นอกจากนี้ยังเป็นส่วนประกอบสําคัญในระบบ Time of Flight (ToF) รวมถึงการตรวจจับและวัดระยะแสง (LiDAR)
ในทางปฏิบัติ ระบบอายุการใช้งานเรืองแสงจะวัดเวลาระหว่างสัญญาณแจ้ง (เช่น พัลส์เลเซอร์กระตุ้น) และการปล่อยเรืองแสงที่เกิดขึ้น เครื่องตรวจจับโฟตอนเดี่ยวรวมกับอุปกรณ์อิเล็กทรอนิกส์อื่น ๆ จะแปลงสัญญาณโฟตอนที่เข้ามาเป็นเอาต์พุตดิจิตอล เครื่องตรวจจับเหล่านี้มักใช้สําหรับการวัดเวลา
เครื่องตรวจจับเหล่านี้ให้สัญญาณที่ทําหน้าที่เป็นการประทับเวลาสําหรับการเรืองแสง เมื่อรวมกับแหล่งกําเนิดแสงแบบพัลซิ่ง (ซึ่งทําให้ฟลูออโรฟอร์อยู่ในสถานะตื่นเต้น) และส่วนประกอบอิเล็กทรอนิกส์อื่นๆ (เพื่อประมวลผลสัญญาณนี้) ระบบเหล่านี้จะสร้างเส้นโค้งการสลายตัวของเรืองแสงทีละโฟตอน การวัดแต่ละครั้งจะถูกพล็อตบนฮิสโตแกรมเพื่อสร้างเส้นโค้งการสลายตัวของเรืองแสงสําหรับวัสดุเฉพาะ
หลอดโฟโตมัลติพลายเออร์ (PMT) มักเป็นตัวเลือกมาตรฐานสําหรับเครื่องตรวจจับโฟตอนเดี่ยว แต่ทางเลือกอื่นๆ เช่น ไดโอดหิมะถล่มโฟตอนเดี่ยว (SPAD) อาจให้เวลาตอบสนองที่ถูกกว่าและเร็วกว่า ต้องบอกว่า SPAD ต้องดิ้นรนเพื่อแข่งขันในแง่ของพื้นที่ใช้งาน พื้นที่ใช้งานขนาดใหญ่มีความสําคัญใน SPD เนื่องจากความเข้มของสัญญาณค่อนข้างต่ํา ประโยชน์หลักประการหนึ่งของ PMT คือพื้นที่ใช้งานขนาดใหญ่
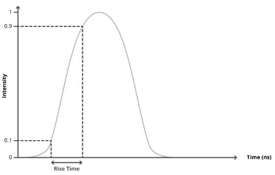
เวลาเพิ่มขึ้น
เวลาที่เพิ่มขึ้นของเครื่องตรวจจับโฟตอนตัวเดียวแสดงถึงความเร็วของพัลส์ที่เข้ามาเพิ่มขึ้นจาก 10% เป็น 90% ของความเข้ม สิ่งนี้จะวัดปริมาณว่าเครื่องตรวจจับจะตอบสนองได้เร็วเพียงใดหลังจากที่โฟตอนกระทบ ซึ่งเป็นปริมาณที่สําคัญสําหรับการวัดเวลาที่แม่นยํา แหล่งกําเนิดแสงพัลซิ่ง LED ที่ดีที่สุดมีความกว้างพัลส์ 100 วินาที picoseconds ดังนั้นเครื่องตรวจจับที่เข้ากันได้ควรมีเวลาเพิ่มขึ้นในระดับนี้เพื่อวัดสัญญาณจากแหล่งกําเนิดแสงเหล่านี้โดยไม่ต้องขยายขอบเขตสูงสุดเพิ่มเติม

เวลาตาย
เวลาตายเป็นอีกปัจจัยสําคัญสําหรับเครื่องตรวจจับโฟตอนเดี่ยว เวลาตายจะหาปริมาณเวลาที่ใช้ในการกู้คืนระบบจากโฟตอนที่เข้ามาและพร้อมสําหรับสัญญาณขาเข้าอื่น สิ่งนี้กําหนดอัตราการทําซ้ําของเครื่องตรวจจับ มีส่วนประกอบหลายอย่างที่ส่งผลต่อเวลาตายของเครื่องตรวจจับ ตัวอย่างเช่น ปัจจัยหนึ่งที่สนับสนุนคือระบบไม่สามารถตรวจพบเหตุการณ์ได้มากกว่าหนึ่งเหตุการณ์ต่อระยะเวลาการกระตุ้น อย่างไรก็ตาม เนื่องจากอัตราส่วนพัลส์ต่อการตรวจจับน้อยกว่า 1 โฟตอนที่ตรวจพบต่อพัลส์กระตุ้น 50 ครั้ง จึงไม่ใช่ปัจจัยจํากัด
บ่อยครั้งที่ปัจจัยที่สําคัญกว่าคือเครื่องตรวจจับและเวลาตายของการแปลงที่ซ้อนกัน นี่แสดงถึงเวลาที่ใช้สําหรับเครื่องตรวจจับหรืออุปกรณ์อิเล็กทรอนิกส์ที่แปลงเพื่อประมวลผลสัญญาณ
สเปรดเวลาขนส่ง
เวลาที่เป็นระบบใด ๆ ที่ใช้สําหรับโฟตอนที่จะประมวลผลสามารถนับได้ว่าเป็นเวลาหน่วงที่สามารถแก้ไขได้ ดังนั้นปัญหาหลักที่ส่งผลต่อความละเอียดของเวลาคือการกระจายเวลาการขนส่ง สิ่งนี้จะหาปริมาณการแพร่กระจายในเวลาที่ใช้จากอิเล็กตรอนที่ขยายตัวแรกจนถึงอิเล็กตรอนตัวสุดท้าย TTS สามารถกําหนดความไม่แน่นอนและความละเอียดของเครื่องตรวจจับได้
อัตราการนับความมืด
ตัวชี้วัดที่สําคัญอีกประการหนึ่งคืออัตราการนับมืดของเครื่องตรวจจับ นี่แสดงถึงจํานวนสัญญาณที่ตรวจพบเมื่อไม่มีสัญญาณจริง กล่าวอีกนัยหนึ่งนี่คือสัญญาณรบกวนพื้นฐานคงที่ของระบบ ค่านี้วัดเป็นจํานวนต่อวินาที (cps) หรือ Hz
กําไรและประสิทธิภาพควอนตัม
เกนจะหาปริมาณการขยายสัญญาณจากโฟตอนเดียวไปยังสัญญาณกระแสที่วัดได้ ประสิทธิภาพควอนตัมวัดความสามารถของเครื่องตรวจจับในการแปลงโฟตอนตกกระทบแต่ละตัวเป็นกระแสที่แยกออกมา และวัดในช่วงความยาวคลื่นสําหรับเครื่องตรวจจับ
ทั้งสองเป็นคุณสมบัติที่สําคัญในเครื่องตรวจจับโฟตอนเครื่องเดียว แต่ต้องเป็นไปตามข้อกําหนดที่จําเป็นสําหรับการวัดของคุณเท่านั้น ตราบใดที่อัตราขยายที่ได้มีขนาดใหญ่พอที่จะสร้างกระแสที่วัดได้ที่ขั้วบวกของเครื่องตรวจจับอัตราขยายก็เพียงพอสําหรับเครื่องตรวจจับโฟตอนตัวเดียว ในทํานองเดียวกันสําหรับประสิทธิภาพควอนตัม คุณเพียงแค่ต้องแน่ใจว่าการปล่อยเรืองแสงอยู่ในช่วงที่เครื่องตรวจจับแสงมีประสิทธิภาพควอนตัมที่ดี
อุปกรณ์ที่ใช้กันทั่วไปในเครื่องตรวจจับโฟตอนเดี่ยวคือหลอดโฟโตมัลติพลายเออร์ (PMT) หลอดโฟโตมัลติพลายเออร์ใช้วัสดุอิเล็กโทรดบางชนิด เช่น เบริเลียมออกไซด์และแมกนีเซียมออกไซด์เป็นไดโนด ด้วยวัสดุไดโนด โฟตอนที่เข้ามาจะกระตุ้นการปลดปล่อยอิเล็กตรอนหลายตัว ซึ่งแต่ละตัวสามารถกระตุ้นการปลดปล่อยอิเล็กตรอนได้มากขึ้น ซึ่งหมายความว่าสามารถขยายโฟตอนที่เข้ามาให้เป็นสัญญาณไฟฟ้าที่สําคัญได้อย่างง่ายดาย ไดโนดมักจะถูกจัดเรียงเป็นชุดของเพลตหรือในโครงสร้างท่อ
PMT ของ Microchannel Plate (MCP) เป็นรูปแบบทั่วไปของ PMT ที่ใช้ในการนับโฟตอนเดี่ยวที่สัมพันธ์กับเวลา ในโฟโตมัลลิปไพเลอร์ อิเล็กตรอนจะถูกนําทางลงไปในช่องแคบ ๆ โดยสนามไฟฟ้าที่ใช้ หลอดเหล่านี้เคลือบด้วยวัสดุไดโนด ดังนั้นโฟตอนที่เข้ามาจึงสร้างสัญญาณไฟฟ้าที่สม่ําเสมอ PMT ประเภทอื่นที่ใช้คือ PMT ของไดโนดเชน ซึ่งใช้ไดโนดแต่ละตัว (แผ่นโลหะแยก) เพื่อคูณอิเล็กตรอน
PMT ของห่วงโซ่ Dynode มีขนาดใหญ่และมีประสิทธิภาพน้อยกว่า MCP PMT เนื่องจาก MCP PMT มีช่องสัญญาณที่เล็กมาก อิเล็กตรอนทั้งหมดจึงถูกส่งลงไปตามความยาวเส้นทางที่ใกล้เคียงกัน ดังนั้นจึงมีเวลาขนส่งเท่ากัน สิ่งนี้นําไปสู่ TTS ที่ต่ํากว่าเมื่อเทียบกับ PMT ของไดโนดเชน MCP PMT มีความกว้างพัลส์สั้นกว่า PMT อื่นๆ ถึง 10 เท่า . อย่างไรก็ตาม PMT ของไดโนดเชนมีค่าใช้จ่ายน้อยกว่า MCP และเหมาะสําหรับการใช้งานเครื่องตรวจจับโฟตอนเดี่ยวจํานวนมาก MCP PMT ยังทํางานในช่วงความเข้มที่เล็กกว่า PMT ไดโนด
ไดโอดหิมะถล่มโฟตอนเดี่ยว (SPAD) ยังได้รับการจัดตั้งให้เป็นเครื่องตรวจจับที่ดีสําหรับระบบจับเวลาความละเอียดสูง มีราคาไม่แพงและมีเวลาตอบสนองที่เร็วกว่าหลอดโฟโตมัลติพลายเออร์ทางเลือก
ระบบ SPAD ใช้โฟโตไดโอดในอคติย้อนกลับ ซึ่งแรงดันพังทลายต่ํากว่าพลังงานของโฟตอนเดียว โฟตอนเดี่ยวสร้างคู่อิเล็กตรอน-หลุม ทําให้เกิดการเคลื่อนที่ของอิเล็กตรอนทุติยภูมิ เครื่องตรวจจับเหล่านี้มักใช้ในสถาปัตยกรรมเซมิคอนดักเตอร์เสริมโลหะออกไซด์ สามารถบรรลุเวลาที่เพิ่มขึ้นของ picoseconds ดังนั้นจึงสามารถวัดอายุการใช้งานเรืองแสงได้ตามลําดับนาโนวินาที
อย่างไรก็ตาม SPAD จําเป็นต้องคืนค่าแรงดันไฟฟ้าเริ่มต้นหลังจากเกิดเหตุการณ์ใดๆ ดังนั้นเวลาตายจึงอยู่ที่ 10 วินาทีของนาโนวินาที ปัญหาหนึ่งของการใช้โฟโตไดโอดหิมะถล่มคือพื้นที่ใช้งานขนาดเล็ก เครื่องตรวจจับต้องการพื้นที่ที่ใหญ่ที่สุดเท่าที่จะเป็นไปได้ เนื่องจากเป็นการยากที่จะโฟกัสการเรืองแสงไปยังพื้นที่ขนาดเล็ก และพื้นที่ที่มีอยู่ของโฟโตไดโอดนั้นน้อยกว่า PMT อย่างมาก