เรียนรู้วิธีที่ระบบสามเฟสให้ประสิทธิภาพที่เหนือกว่าสำหรับการแปลงพลังงานไฟฟ้าสำหรับงานหนัก
การแปลงกระแสไฟฟ้าสามเฟสเป็นกระแสสลับ โดยใช้ไดโอดหกตัวในวงจรบริดจ์ คือกระบวนการแปลงแหล่งจ่ายไฟกระแสสลับสามเฟสเพื่อใช้ในงานที่มีกำลังสูง
ในบทเรียนเรื่องการแปลงกระแสไฟฟ้าสลับเป็นกระแสไฟฟ้าตรงแบบเฟสเดียวในครั้งก่อน เราได้เห็นแล้วว่ากระบวนการแปลงกระแสไฟฟ้าสลับให้เป็นกระแสไฟฟ้าตรงคงที่เรียกว่า การแปลง กระแสไฟฟ้าสลับเป็นกระแสไฟฟ้าตรง โดยวงจรที่นิยมใช้มากที่สุดในการแปลงกระแสไฟฟ้าสลับเป็นกระแสไฟฟ้าตรงคือวงจรที่ใช้ไดโอดเซมิคอนดักเตอร์แบบโซลิดสเตท
อันที่จริง การแปลงกระแสสลับให้เป็นกระแสตรงเป็นหนึ่งในแอปพลิเคชันยอดนิยมของไดโอด เนื่องจากไดโอดมีราคาไม่แพง ขนาดเล็ก และทนทาน ทำให้เราสามารถสร้างวงจรเรียงกระแสได้หลายประเภท
โดยการใช้ไดโอดที่เชื่อมต่อแยกกัน หรือใช้เพียงโมดูลวงจรเรียงกระแสแบบบริดจ์เพียงโมดูลเดียว การใช้ ไดโอดกำลังสูงและวงจรเรียงกระแส ช่วยให้เราสามารถสร้างแหล่งจ่ายไฟ ตัวควบคุม และอินเวอร์เตอร์ได้หลากหลายประเภท
ระบบไฟฟ้าเฟสเดียว เช่นที่ใช้ในบ้านและสำนักงาน โดยทั่วไปจะมีแรงดันเฟสต่อกลาง 120 Vrms หรือ 240 Vrms หรือเรียกว่าแรงดันสายต่อกลาง (LN) และโดยทั่วไปจะมีแรงดันและความถี่คงที่ ทำให้เกิดแรงดันหรือกระแสสลับในรูปคลื่นไซน์ ซึ่งย่อว่า "AC"
วงจร เรียงกระแสสามเฟส หรือที่เรียกว่าวงจรเรียงกระแสหลายเฟส มีลักษณะคล้ายกับ วงจรเรียงกระแสเฟสเดียว ที่กล่าวมาข้างต้น ความแตกต่างในครั้งนี้คือ เราใช้แหล่งจ่ายไฟเฟสเดียวสามแหล่งที่เชื่อมต่อเข้าด้วยกัน ซึ่งผลิตจากเครื่องกำเนิดไฟฟ้าสามเฟสเพียงเครื่องเดียว
ข้อดีของวงจรเรียงกระแส 3 เฟสก็คือ สามารถนำไปใช้จ่ายไฟให้กับงานอุตสาหกรรมหลายอย่าง เช่น การควบคุมมอเตอร์ หรือการชาร์จแบตเตอรี่ ซึ่งต้องการกำลังไฟฟ้าสูงกว่าที่วงจรเรียงกระแสเฟสเดียวสามารถจ่ายได้
แหล่งจ่ายไฟ 3 เฟสพัฒนาแนวคิดนี้ไปอีกขั้นโดยการรวมแรงดันไฟฟ้ากระแสสลับ 3 ตัวที่มีความถี่และแอมพลิจูดเท่ากัน โดยแต่ละแรงดันไฟฟ้ากระแสสลับเรียกว่า "เฟส" เฟสทั้งสามนี้มีเฟสต่างกัน 120 องศาทางไฟฟ้า ทำให้เกิดลำดับเฟสหรือการหมุนเฟสเป็น: 360 o ÷ 3 = 120 o ดังแสดงในภาพ

ข้อดีในที่นี้คือ สามารถใช้แหล่งจ่ายไฟกระแสสลับสามเฟส (AC) เพื่อจ่ายพลังงานไฟฟ้าโดยตรงไปยังโหลดสมดุลและวงจรเรียงกระแสได้
เนื่องจากแหล่งจ่ายไฟ 3 เฟสมีแรงดันและความถี่คงที่ จึงสามารถใช้กับวงจรเรียงกระแสเพื่อผลิตกระแสไฟฟ้าตรงที่มีแรงดันคงที่ จากนั้นจึงทำการกรองเพื่อให้ได้แรงดันไฟฟ้าตรงขาออกที่มีระลอกคลื่นน้อยกว่าเมื่อเทียบกับวงจรเรียงกระแสแบบเฟสเดียว
เมื่อเราทราบแล้วว่าแหล่งจ่ายไฟ 3 เฟสก็คือการรวมกันของแหล่งจ่ายไฟเฟสเดียว 3 เฟส เราจึงสามารถใช้คุณสมบัติหลายเฟสนี้เพื่อสร้างวงจรเรียงกระแส 3 เฟสได้
เช่นเดียวกับการเรียงกระแสแบบเฟสเดียว การเรียงกระแสแบบสามเฟสใช้ไดโอด ไทริสเตอร์ ทรานซิสเตอร์ หรือตัวแปลงเพื่อสร้างวงจรเรียงกระแสแบบครึ่งคลื่น เต็มคลื่น แบบไม่ควบคุม และแบบควบคุมอย่างสมบูรณ์ ซึ่งแปลงแหล่งจ่ายไฟสามเฟสที่กำหนดให้เป็นระดับเอาต์พุต DC ที่คงที่
ในการใช้งานส่วนใหญ่ เครื่องแปลงกระแสไฟฟ้าสามเฟสจะได้รับพลังงานโดยตรงจากโครงข่ายไฟฟ้าหลัก หรือจาก หม้อแปลงสามเฟส หากโหลดที่เชื่อมต่อต้องการระดับแรงดันไฟฟ้ากระแสตรงที่แตกต่างกัน
เช่นเดียวกับวงจรเรียงกระแสเฟสเดียวที่กล่าวมาข้างต้น วงจรเรียงกระแสสามเฟสพื้นฐานที่สุดคือวงจรเรียงกระแสครึ่งคลื่นแบบไม่ควบคุม ซึ่งใช้ไดโอดเซมิคอนดักเตอร์สามตัว โดยแต่ละ ไดโอดแบบ PN-junction หนึ่งตัวต่อเฟส ดังแสดงในภาพ

วงจรเรียงกระแสครึ่งคลื่นสามเฟสนี้ทำงานอย่างไร? ขั้วแอโนดของไดโอดแต่ละตัวเชื่อมต่อกับเฟสหนึ่งของแหล่งจ่ายแรงดันไฟฟ้า ในขณะที่ขั้วแคโทดของไดโอดทั้งสามตัวเชื่อมต่อเข้าด้วยกันกับจุดบวกเดียวกัน ทำให้เกิดการจัดเรียงแบบไดโอด “OR” ขึ้นมา
จุดร่วมนี้จะกลายเป็นขั้วบวก (+) ของโหลด ในขณะที่ขั้วลบ (-) ของโหลดจะเชื่อมต่อกับสายกลาง (N) ของแหล่งจ่ายไฟ
สมมติว่ามีการหมุนเฟสของสีแดง-เหลือง-น้ำเงิน (V A – V B – V C ) และเฟสสีแดง (V A ) เริ่มต้นที่ 0 o ไดโอดตัวแรกที่จะนำกระแสจะเป็นไดโอด 1 (D 1 ) เนื่องจากจะมีแรงดันบวกที่ขั้วแอโนดมากกว่าไดโอด D 2 หรือ D 3
ดังนั้นไดโอด D 1 จะนำกระแสในช่วงครึ่งรอบบวกของ V A ในขณะที่ D 2 และ D 3 อยู่ในสถานะไบแอสย้อนกลับ สายกลางทำหน้าที่เป็นเส้นทางส่งกระแสโหลดกลับไปยังแหล่งจ่ายไฟ
หลังจากผ่านไป 120 องศาทางไฟฟ้า ไดโอด 2 (D 2 ) เริ่มนำกระแสในช่วงครึ่งรอบบวกของ V B (เฟสสีเหลือง) ขณะนี้ขั้วแอโนดของมันมีศักย์ไฟฟ้าสูงกว่าไดโอด D 1 และ D 3 ซึ่งทั้งสองตัว "ปิด" เนื่องจากได้รับการไบแอสแบบกลับด้าน
ในทำนองเดียวกัน 120 o ต่อมา V C (เฟสสีน้ำเงิน) เริ่มเพิ่มขึ้น ทำให้ไดโอด 3 (D 3 ) เปิดขึ้น เนื่องจากขั้วแอโนดมีศักย์ไฟฟ้าบวกมากขึ้น ส่งผลให้ไดโอด D 1 และ D 2 ปิดลง
จากนั้นเราจะเห็นว่าสำหรับการแก้ไขแบบสามเฟส ไดโอดใดก็ตามที่มีแรงดันไฟฟ้าบวกที่ขั้วแอโนดมากกว่าไดโอดอีกสองตัว ไดโอดนั้นจะเริ่มนำกระแสโดยอัตโนมัติ ทำให้เกิดรูปแบบการนำกระแสเป็น: D 1 D 2 D 3 ดังแสดงในภาพ

จากรูปคลื่นข้างต้นสำหรับโหลดตัวต้านทาน เราจะเห็นได้ว่าสำหรับวงจรเรียงกระแสครึ่งคลื่น ไดโอดแต่ละตัวจะยอมให้กระแสไหลผ่านเป็นเวลาหนึ่งในสามของแต่ละรอบ โดยรูปคลื่นเอาต์พุตจะมีความถี่เป็นสามเท่าของความถี่อินพุตของแหล่งจ่ายไฟ AC
ดังนั้นในหนึ่งรอบจะมีแรงดันไฟฟ้าสูงสุดสามจุด การเพิ่มจำนวนเฟสจากระบบเฟสเดียวเป็นระบบสามเฟสจึงช่วยปรับปรุงการแปลงกระแสไฟฟ้าให้เป็นกระแสตรง ส่งผลให้แรงดันไฟฟ้ากระแสตรงที่ได้มีความราบเรียบมากขึ้น
สำหรับวงจรเรียงกระแสครึ่งคลื่นสามเฟส แรงดันไฟฟ้าแหล่งจ่าย V A V B และ V C จะสมดุลกัน แต่มีเฟสต่างกัน 120 o ทำให้ได้:
VA = VP*sin(ωt – 0o)
VB = VP*sin(ωt – 120o)
VC = VP*sin(ωt – 240o)
โดยที่ V P คือ “จุดสูงสุด” หรือค่าสูงสุดของแหล่งจ่ายไฟ 3 เฟส ดังนั้นค่าเฉลี่ยของแรงดันไฟกระแสตรงของรูปคลื่นแรงดันเอาต์พุตจากวงจรเรียงกระแสครึ่งคลื่น 3 เฟส จึงกำหนดได้ดังนี้:

เนื่องจากแรงดันไฟฟ้าที่จ่ายเป็นแรงดันไฟฟ้าสูงสุด V P จึงเท่ากับ V RMS *1.414 ดังนั้น V RMS จึงเท่ากับ V P /1.414 หรือ 0.707*V P เนื่องจาก 1/1.414 = 0.707
ดังนั้น แรงดันไฟฟ้ากระแสตรงเฉลี่ยของวงจรเรียงกระแสสามารถแสดงได้ในรูปของแรงดันไฟฟ้าเฟสรากกำลังสองเฉลี่ย (RMS) ดังนี้:

วงจรเรียงกระแสครึ่งคลื่น 3 เฟส สร้างขึ้นโดยใช้ไดโอด 3 ตัว และหม้อแปลง 3 เฟส ต่อแบบสตาร์ 120VAC ถ้าต้องการจ่ายไฟให้กับโหลดที่มีอิมพีแดนซ์ 50Ω จงคำนวณหา ก) แรงดันไฟฟ้ากระแสตรงเฉลี่ยที่ส่งออกไปยังโหลด ข) กระแสโหลด ค) กระแสเฉลี่ยต่อไดโอด สมมติว่าไดโอดเป็นไดโอดในอุดมคติ
ก) แรงดันไฟฟ้ากระแสตรงเฉลี่ยที่โหลด:
V DC = 1.17*Vrms = 1.17*120 = 140.4 โวลต์
โปรดทราบว่าหากเราได้รับค่าแรงดันไฟฟ้าสูงสุด (V p ) แล้ว:
V DC จะเท่ากับ 0.827*Vp หรือ 0.827*169.68 = 140.4V
ข) กระแสโหลด DC:
I L = V DC /R L = 140.4/50 = 2.81 แอมแปร์
ค) กระแสเฉลี่ยต่อไดโอด:
I D = I L /3 = 2.81/3 = 0.94 แอมแปร์
ข้อเสียอย่างหนึ่งของการแก้ไขกระแสสลับแบบครึ่งคลื่น 3 เฟส คือ ต้องใช้แหล่งจ่ายไฟ 4 สาย นั่นคือ สามเฟสบวกกับสายกลาง (N) นอกจากนี้ แรงดันไฟ DC เฉลี่ยที่ได้มีค่าต่ำ โดยมีค่าเท่ากับ 0.827*V P ดังที่เราได้เห็นไปแล้ว
เนื่องจากปริมาณริปเปิลในสัญญาณเอาต์พุตมีค่าเป็นสามเท่าของความถี่อินพุต แต่เราสามารถปรับปรุงข้อเสียเหล่านี้ได้โดยการเพิ่มไดโอดอีกสามตัวเข้าไปในวงจรเรียงกระแสพื้นฐาน ทำให้เกิดวงจรเรียงกระแสแบบบริดจ์สามเฟสเต็มคลื่นแบบไม่ควบคุม
วงจรเรียงกระแสแบบบริดจ์สามเฟสเต็มคลื่นแบบไม่ควบคุมใช้ไดโอดหกตัว โดยสองตัวต่อเฟส ในลักษณะเดียวกับวงจรเรียงกระแสแบบบริดจ์เฟสเดียว วงจรเรียงกระแสเต็มคลื่นสามเฟสได้มาจากการใช้สองวงจรเรียงกระแสครึ่งคลื่น
ข้อดีของวงจรนี้คือ วงจรนี้สร้างสัญญาณรบกวนต่ำกว่าวงจรเรียงกระแส 3 เฟสแบบครึ่งคลื่นรุ่นก่อนหน้า เนื่องจากมีความถี่เป็นหกเท่าของรูปคลื่นกระแสสลับขาเข้า
นอกจากนี้ วงจรเรียงกระแสแบบเต็มคลื่นยังสามารถป้อนไฟจากแหล่งจ่ายไฟแบบ 3 เฟส 3 สายที่ต่อแบบเดลต้าได้ เนื่องจากไม่จำเป็นต้องใช้สายกลาง (N) เส้นที่สี่ พิจารณาวงจรเรียงกระแสแบบเต็มคลื่น 3 เฟสที่แสดงด้านล่าง

เช่นเดียวกับก่อนหน้านี้ สมมติว่าการหมุนเวียนเฟสเป็นสีแดง-เหลือง-น้ำเงิน (V A – V B – V C ) และเฟสสีแดง (V A ) เริ่มต้นที่ 0 o แต่ละเฟสเชื่อมต่อระหว่างไดโอดคู่หนึ่งดังที่แสดง ไดโอดตัวหนึ่งในคู่ตัวนำจ่ายไฟให้กับด้านบวก (+) ของโหลด ในขณะที่ไดโอดอีกตัวจ่ายไฟให้กับด้านลบ (-) ของโหลด
ไดโอด D 1 D 3 D 2 และ D 4 ก่อตัวเป็นวงจรเรียงกระแสแบบบริดจ์ระหว่างเฟส A และ B ในทำนองเดียวกัน ไดโอด D 3 D 5 D 4 และ D 6 ระหว่างเฟส B และ C และเช่นเดียวกัน ไดโอด D 5 D 1 D 6 และ D 2 ก่อตัวเป็นวงจรเรียงกระแสแบบบริดจ์ระหว่างเฟส C และ A
ไดโอด D 1 D 3 และ D 5 จ่ายไฟให้กับรางบวก โดยไดโอดที่มีแรงดันบวกที่ขั้วแอโนดมากกว่าจะเป็นตัวนำ ในทำนองเดียวกัน ไดโอด D 2 D 4 และ D 6 จ่ายไฟให้กับรางลบ โดยไดโอดที่มีแรงดันลบที่ขั้วแคโทดมากกว่าจะเป็นตัวนำ
จากนั้นเราจะเห็นว่าสำหรับการแก้ไขกระแสไฟฟ้าแบบสามเฟสที่ไม่สามารถควบคุมได้ ไดโอดจะนำกระแสเป็นคู่ที่เข้ากัน โดยแต่ละเส้นทางการนำกระแสจะผ่านไดโอดสองตัวที่ต่ออนุกรมกัน ดังนั้นจึงต้องใช้ไดโอดเรียงกระแสทั้งหมดหกตัว โดยการสลับกระแสของวงจรจะเกิดขึ้นทุกๆ 60 o หรือหกครั้งต่อรอบ
ถ้าเราเริ่มรูปแบบการนำไฟฟ้าที่ 30 o จะทำให้เราได้รูปแบบการนำไฟฟ้าสำหรับกระแสโหลดดังนี้: D 1-4 D 1-6 D 3-6 D 3-2 D 5-2 D 5-4 และกลับไปที่ D 1-4 และ D 1-6 สำหรับลำดับเฟสถัดไปดังที่แสดง

ในวงจรเรียงกระแสไฟฟ้า 3 เฟส การนำกระแสจะเกิดขึ้นในไดโอดที่มีศักย์ไฟฟ้าบวกมากที่สุดและไดโอดที่มีศักย์ไฟฟ้าลบมากที่สุดที่สอดคล้องกันเสมอ ดังนั้นเมื่อเฟสทั้งสามหมุนผ่านขั้วต่อของวงจรเรียงกระแส การนำกระแสจึงส่งผ่านจากไดโอดหนึ่งไปยังอีกไดโอดหนึ่ง
จากนั้นไดโอดแต่ละตัวจะนำกระแสเป็นเวลา 120 o (หนึ่งในสาม) ในแต่ละรอบการจ่ายไฟ แต่เนื่องจากต้องใช้ไดโอดสองตัวในการนำกระแสเป็นคู่ ดังนั้นไดโอดแต่ละคู่จะนำกระแสเพียง 60 o (หนึ่งในหก) ของรอบในเวลาใดเวลาหนึ่งดังที่แสดงไว้ข้างต้น
ดังนั้นเราจึงสามารถกล่าวได้อย่างถูกต้องว่า สำหรับวงจรเรียงกระแส 3 เฟสที่ป้อนด้วยขดลวดทุติยภูมิของหม้อแปลง “3” ตัว แต่ละเฟสจะถูกคั่นด้วยมุม 360 o /3 ซึ่งต้องใช้ไดโอด 2*3 ตัว
นอกจากนี้ โปรดทราบว่า ต่างจากวงจรเรียงกระแสครึ่งคลื่นแบบก่อนหน้า วงจรเรียงกระแสนี้ไม่มีการเชื่อมต่อร่วมกันระหว่างขั้วอินพุตและเอาต์พุต ดังนั้นจึงสามารถป้อนไฟเลี้ยงจากหม้อแปลงแบบต่อแบบสตาร์หรือแบบเดลต้าได้
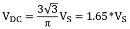
ดังนั้นค่าเฉลี่ยของค่ากระแสตรงของรูปคลื่นแรงดันเอาต์พุตจากวงจรเรียงกระแสเต็มคลื่น 3 เฟส จึงกำหนดได้ดังนี้:

โดยที่: V S เท่ากับ (V L(PEAK) ÷ √ 3 ) และโดยที่ V L(PEAK) คือแรงดันไฟฟ้าระหว่างสายสูงสุด (V L *1.414)
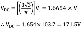
ต้องการวงจรเรียงกระแสแบบบริดจ์เต็มคลื่น 3 เฟส เพื่อจ่ายโหลดความต้านทาน 150 โอห์ม จากแหล่งจ่ายไฟแบบเดลต้า 3 เฟส 127 โวลต์ 60 เฮิรตซ์ โดยไม่คิดถึงแรงดันตกคร่อมไดโอด จงคำนวณ: 1. แรงดันไฟออกกระแสตรงของวงจรเรียงกระแส และ 2. กระแสโหลด
1). แรงดันไฟฟ้าขาออก DC:
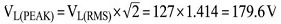
แรงดันไฟฟ้าสาย RMS (Root Mean Squared) คือ 127 โวลต์ ดังนั้นแรงดันไฟฟ้าสูงสุดระหว่างสาย (V L-L(PEAK) ) จะเป็น:

เนื่องจากแหล่งจ่ายไฟเป็นแบบ 3 เฟส แรงดันเฟสต่อกลาง (V P-N ) ของเฟสใดๆ จะเป็นดังนี้:

โปรดทราบว่าโดยพื้นฐานแล้วนี่ก็เหมือนกับการพูดว่า:

ดังนั้น แรงดันไฟฟ้ากระแสตรงเฉลี่ยที่ได้จากวงจรเรียงกระแสแบบเต็มคลื่น 3 เฟส จึงมีค่าดังนี้:

อีกครั้ง เราสามารถลดความซับซ้อนทางคณิตศาสตร์ลงได้เล็กน้อย โดยกล่าวอย่างถูกต้องว่า สำหรับค่าแรงดัน RMS ระหว่างสายที่กำหนด ในตัวอย่างของเราคือ 127 โวลต์ แรงดันเอาต์พุต DC เฉลี่ยจะเป็นดังนี้:

2). กระแสโหลดของวงจรเรียงกระแส
สัญญาณเอาต์พุตจากวงจรเรียงกระแสจะป้อนเข้าสู่โหลดความต้านทาน 150 โอห์ม จากนั้นเมื่อใช้กฎของโอห์ม กระแสโหลดจะเป็น:

วงจรเรียงกระแส 3 เฟสแบบไม่ควบคุมใช้ไดโอดเพื่อให้ได้แรงดันเอาต์พุตเฉลี่ยที่มีค่าคงที่เมื่อเทียบกับค่าแรงดันไฟกระแสสลับขาเข้า แต่เพื่อให้แรงดันเอาต์พุตของวงจรเรียงกระแสเปลี่ยนแปลงได้ เราจำเป็นต้องแทนที่ไดโอดแบบไม่ควบคุมบางส่วนหรือทั้งหมดด้วยไทริสเตอร์ เพื่อสร้างวงจรเรียงกระแสแบบบริดจ์ที่เรียกว่าแบบควบคุมครึ่งหนึ่งหรือแบบควบคุมเต็มรูปแบบ
ไทริสเตอร์เป็นอุปกรณ์เซมิคอนดักเตอร์ที่มีสามขั้ว และเมื่อมีการป้อนพัลส์กระตุ้นที่เหมาะสมไปยังขั้วเกตของไทริสเตอร์ ในขณะที่แรงดันไฟฟ้าระหว่างขั้วแอโนดและแคโทดเป็นบวก อุปกรณ์จะนำกระแสและส่งผ่านกระแสโหลด
ดังนั้น การหน่วงเวลาของพัลส์กระตุ้น (มุมการจุดระเบิด) จะช่วยหน่วงช่วงเวลาที่ไทริสเตอร์จะเปิดทำงานตามธรรมชาติหากเป็นไดโอดทั่วไป และช่วงเวลาที่มันเริ่มนำกระแสเมื่อมีการป้อนพัลส์กระตุ้น
ดังนั้น ด้วยวงจรเรียงกระแส 3 เฟสแบบควบคุมที่ใช้ไทริสเตอร์แทนไดโอด เราสามารถควบคุมค่าของแรงดันไฟ DC เฉลี่ยได้โดยการควบคุมมุมการจุดระเบิดของคู่ไทริสเตอร์ และแรงดันไฟที่ได้จึงกลายเป็นฟังก์ชันของมุมการจุดระเบิด α
ดังนั้น ความแตกต่างเพียงอย่างเดียวจากสูตรที่ใช้ข้างต้นสำหรับแรงดันเอาต์พุตเฉลี่ยของวงจรเรียงกระแสแบบบริดจ์ 3 เฟส คือ มุมโคไซน์ cos(α) ของพัลส์จุดระเบิดหรือพัลส์กระตุ้น
ดังนั้น หากมุมการจุดระเบิดเป็นศูนย์ (cos(0) = 1) วงจรเรียงกระแสแบบควบคุมจะทำงานคล้ายกับวงจรเรียงกระแสไดโอด 3 เฟสแบบไม่ควบคุมก่อนหน้านี้ โดยที่แรงดันเอาต์พุตเฉลี่ยจะเท่ากัน
ตัวอย่างของวงจรเรียงกระแสแบบบริดจ์ 3 เฟสที่ควบคุมได้อย่างสมบูรณ์แสดงไว้ด้านล่าง:

ในบทเรียนนี้ เราได้เห็นแล้วว่า การแปลงกระแสไฟฟ้าสามเฟสเป็นกระแสตรง (DC) คือกระบวนการแปลงกระแสไฟฟ้าสลับสามเฟสให้เป็นแรงดันไฟฟ้ากระแสตรงแบบเป็นจังหวะ เนื่องจากกระบวนการแปลงกระแสไฟฟ้าสลับเป็นแรงดันไฟฟ้าและความถี่แบบไซน์เวฟ ให้เป็นแรงดันไฟฟ้ากระแสตรงคงที่ ดังนั้น การแปลงกระแสไฟฟ้าสลับเป็นกระแสไฟฟ้าแบบทิศทางเดียวจึงเปลี่ยนแหล่งจ่ายไฟสลับให้เป็นแหล่งจ่ายไฟแบบทิศทางเดียว
แต่เราก็ได้เห็นแล้วว่า วงจรเรียงกระแสแบบครึ่งคลื่น 3 เฟสที่ไม่มีการควบคุม ซึ่งใช้ไดโอดหนึ่งตัวต่อเฟส จำเป็นต้องใช้แหล่งจ่ายไฟแบบต่อแบบดาวเป็นสายกลาง (N) เส้นที่สี่ เพื่อปิดวงจรจากโหลดไปยังแหล่งจ่ายไฟ
วงจรเรียงกระแสแบบบริดจ์เต็มคลื่น 3 เฟส ซึ่งใช้ไดโอดสองตัวต่อเฟส ต้องการเพียงสายไฟหลักสามเส้น โดยไม่ต้องมีสายกลาง เช่นเดียวกับแหล่งจ่ายไฟแบบต่อเดลต้า
ข้อดีอีกประการหนึ่งของ วงจรเรียงกระแสแบบบริดจ์เต็มคลื่น คือ กระแสโหลดจะกระจายอย่างสมดุลทั่วทั้งบริดจ์ ช่วยเพิ่มประสิทธิภาพ (อัตราส่วนของกำลังไฟฟ้ากระแสตรงขาออกต่อกำลังไฟฟ้าขาเข้า) และลดปริมาณระลอกคลื่นทั้งในด้านแอมพลิจูดและความถี่ เมื่อเทียบกับวงจรเรียงกระแสแบบครึ่งคลื่น
การเพิ่มจำนวนเฟสและไดโอดภายในวงจรบริดจ์จะช่วยให้ได้แรงดันไฟ DC เฉลี่ยที่สูงขึ้นโดยมีแอมพลิจูดของระลอกคลื่นน้อยลง ตัวอย่างเช่น ในการแก้ไขกระแสสลับแบบ 6 เฟส ไดโอดแต่ละตัวจะนำกระแสเพียงหนึ่งในหกของรอบเท่านั้น
นอกจากนี้ วงจรเรียงกระแสแบบหลายเฟสหรือหลายเฟสจะสร้างความถี่ระลอกคลื่นที่สูงกว่า ซึ่งหมายถึงการกรองด้วยตัวเก็บประจุที่น้อยลง และแรงดันเอาต์พุตที่ราบเรียบกว่ามาก ดังนั้น วงจรเรียงกระแสแบบไม่ควบคุม 6, 12, 15 และแม้แต่ 24 เฟส จึงสามารถออกแบบเพื่อปรับปรุงค่าระลอกคลื่นสำหรับการใช้งานต่างๆ ได้