
ค้นพบว่าตัวต้านทานที่จับคู่กันอย่างแม่นยำจะช่วยเพิ่มอัตราการปฏิเสธโหมดทั่วไป (CMRR) อย่างมากได้อย่างไร
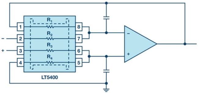
วงจรขยายสัญญาณดิฟเฟอเรนเชียล เช่น วงจรที่แสดงในรูปที่ 1 เป็นสิ่งจำเป็นในเทคโนโลยีอะนาล็อกสำหรับการใช้งานที่หลากหลาย ตัวอย่างเช่น เทคโนโลยีการวัด ซึ่งอาจต้องการความแม่นยำในการวัดที่สูงมาก ขึ้นอยู่กับการใช้งาน เพื่อให้ได้ความแม่นยำนี้ สิ่งสำคัญคือต้องลดแหล่งที่มาของข้อผิดพลาดทั่วไป เช่น ข้อผิดพลาดด้านออฟเซ็ตและเกน รวมถึงสัญญาณรบกวน ค่าความคลาดเคลื่อน และค่าดริฟท์ให้เหลือน้อยที่สุด เพื่อจุดประสงค์นี้ จึงมีการใช้เครื่องขยายสัญญาณแบบออปติคัลที่มีความแม่นยำสูง นอกจากนี้ ส่วนประกอบภายนอกของวงจรขยายสัญญาณ โดยเฉพาะตัวต้านทาน ควรมีอัตราส่วนที่ตรงกัน ไม่ใช่เลือกแบบตายตัว

ตามหลักการแล้ว ควรเลือกตัวต้านทานในวงจรขยายสัญญาณดิฟเฟอเรนเชียลให้อัตราส่วนของตัวต้านทานเท่ากัน (R2/R1 = R4/R3) การเบี่ยงเบนใดๆ จากอัตราส่วนเหล่านี้จะนำไปสู่ความคลาดเคลื่อนโหมดร่วมที่ไม่พึงประสงค์ ความสามารถของวงจรขยายสัญญาณดิฟเฟอเรนเชียลในการปฏิเสธความคลาดเคลื่อนโหมดร่วมนี้แสดงอยู่ในรูปของอัตราส่วนการปฏิเสธโหมดร่วม (CMRR) ซึ่งบ่งชี้ว่าแรงดันไฟฟ้าขาออกเปลี่ยนแปลงอย่างไรเมื่อแรงดันไฟฟ้าขาเข้าเท่ากัน (แรงดันไฟฟ้าโหมดร่วม) ในกรณีที่ดีที่สุด แรงดันไฟฟ้าขาออกไม่ควรเปลี่ยนแปลง เพราะขึ้นอยู่กับความต่างระหว่างแรงดันไฟฟ้าขาเข้าทั้งสอง (CMRR สูงสุด) อย่างไรก็ตาม สถานการณ์ในทางปฏิบัติจะแตกต่างกัน CMRR เป็นคุณลักษณะสำคัญของวงจรขยายสัญญาณดิฟเฟอเรนเชียล และมักแสดงเป็นเดซิเบล
สำหรับวงจรขยายสัญญาณดิฟเฟอเรนเชียล เช่น วงจรที่แสดงในรูปที่ 1 ค่า CMRR จะถูกกำหนดโดยตัวขยายสัญญาณเอง รวมถึงตัวต้านทานที่เชื่อมต่อภายนอก ค่า CMRR ที่ขึ้นอยู่กับตัวต้านทานจะแสดงด้วยดัชนี “R” ในส่วนที่เหลือของบทความ และคำนวณโดยใช้สมการต่อไปนี้:

ตัวอย่างเช่น ค่าเกนที่ต้องการของ G = 1 และการใช้ตัวต้านทานที่มีค่าความคลาดเคลื่อน 1% ที่ตรงกับ 2% ในวงจรขยายสัญญาณจะให้ผลเป็นอัตราส่วนการปฏิเสธโหมดทั่วไปของ

หรือเป็นเดซิเบล

ที่ 34 เดซิเบล ค่า CMRR R ค่อนข้างต่ำ ในกรณีนี้ แม้ว่าเครื่องขยายเสียงจะมีค่า CMRR ที่ดีมาก แต่ก็ไม่สามารถให้ความแม่นยำสูงได้ เนื่องจากสายสัญญาณจะแข็งแรงเท่ากับจุดอ่อนที่สุดเสมอ ดังนั้น เพื่อวงจรวัดที่แม่นยำ ตัวต้านทานที่เลือกจะต้องมีความแม่นยำสูงมากเช่นกัน
ในทางปฏิบัติ ตัวต้านทานแบบเดิมไม่มีค่าคงที่ ตัวต้านทานเหล่านี้ต้องรับภาระทางกลและผลกระทบจากอุณหภูมิ ตัวต้านทานที่มีค่าความคลาดเคลื่อนต่างกัน หรือตัวต้านทานคู่หรือเครือข่ายที่จับคู่กัน ซึ่งส่วนใหญ่ผลิตโดยใช้เทคโนโลยีฟิล์มบางและให้เสถียรภาพเชิงอัตราส่วนที่แม่นยำ ตัวต้านทานแบบจับคู่เหล่านี้ (เช่น เครือข่ายตัวต้านทานแบบจับคู่สี่ตัว LT5400) สามารถปรับปรุงค่า CMRR โดยรวมของวงจรขยายสัญญาณได้อย่างมาก เครือข่ายตัวต้านทาน LT5400 รับประกันค่า CMRR ที่ดีกว่าตัวต้านทานแบบแยกส่วนถึงสองเท่า เนื่องจากการจับคู่ที่ยอดเยี่ยมตลอดช่วงอุณหภูมิ โดยเฉพาะอย่างยิ่งเมื่อใช้ร่วมกับวงจรขยายสัญญาณดิฟเฟอเรนเชียล

ดังนั้น LT5400 จึงให้การจับคู่ที่ 0.005% ซึ่งส่งผลให้ CMRR R อยู่ที่ 86 dB
อย่างไรก็ตาม อัตราส่วนการปฏิเสธโหมดร่วมรวมของวงจรขยายเสียง (CMRR Total ) เกิดขึ้นจากการรวมกันของตัวต้านทาน CMRR R และอัตราส่วนการปฏิเสธโหมดร่วมของออปแอมป์ (CMRR OP ) สำหรับวงจรขยายเสียงแบบดิฟเฟอเรนเชียล คำนวณโดยใช้สมการที่ 3:

สำหรับค่า CMRR OP ทั่วไป ที่ 112 dB ตามที่เสนอโดย LT1468 เป็นต้น มา และค่ากำไร G = 1 ด้วย LT5400 จะได้ค่า 85.6 dB สำหรับCMRR Total
อีกทางเลือกหนึ่งคือสามารถใช้วงจรขยายสัญญาณดิฟเฟอเรนเชียลแบบรวม เช่น LTC6363 ได้ วงจรขยายสัญญาณประเภทนี้ประกอบด้วยวงจรขยายสัญญาณจริงและตัวต้านทานที่จับคู่กันอย่างเหมาะสมในชิปอยู่แล้ว วงจรนี้ช่วยขจัดปัญหาเกือบทั้งหมดที่กล่าวมาข้างต้น และยังให้ความแม่นยำสูงสุดที่ค่า CMRR มากกว่า 90 เดซิเบล
จะต้องเลือกวงจรตัวต้านทานภายนอกอย่างระมัดระวังตามข้อกำหนดความแม่นยำของวงจรขยายสัญญาณเชิงอนุพันธ์เพื่อให้ได้ประสิทธิภาพของระบบสูง
นอกจากนี้ ยังสามารถใช้เครื่องขยายสัญญาณดิฟเฟอเรนเชียลแบบรวม เช่น LTC6363 ที่มีตัวต้านทานจับคู่แบบรวมบนชิปได้