ดูว่าตัวแบ่งแรงดันไฟฟ้าใช้ความต้านทานเพื่อปรับขนาดพลังงานได้อย่างสมบูรณ์แบบสําหรับความต้องการของโครงการของคุณอย่างไร
ตัวแบ่งแรงดันไฟฟ้าเป็นวงจรง่ายๆที่สามารถลดแรงดันไฟฟ้าได้ มันกระจายแรงดันไฟฟ้าขาเข้าระหว่างส่วนประกอบของวงจร ตัวอย่างที่ดีที่สุดของตัวแบ่งแรงดันไฟฟ้าคือตัวต้านทานสองตัวที่เชื่อมต่อกันแบบอนุกรมโดยมีแรงดันไฟฟ้าขาเข้าที่ใช้ในคู่ตัวต้านทานและแรงดันขาออกที่นํามาจากจุดระหว่างกัน ใช้ในการผลิตระดับแรงดันไฟฟ้าที่แตกต่างกันจากแหล่งแรงดันไฟฟ้าทั่วไป แต่มีกระแสเท่ากันสําหรับส่วนประกอบทั้งหมดในวงจรอนุกรม
แรงดันตกคร่อม R2 คือแรงดันขาออก และนั่นก็เป็นแรงดันไฟฟ้าที่แบ่งทั่วทั้งวงจรด้วย ตัวแบ่งแรงดันไฟฟ้าที่อ้างอิงถึงกราวด์ถูกสร้างขึ้นโดยการเชื่อมต่อตัวต้านทานสองตัวเป็นอนุกรม แรงดันไฟฟ้าขาเข้าถูกนําไปใช้กับความต้านทานอนุกรม R1 และ R2 และเอาต์พุตคือแรงดันไฟฟ้าข้าม R2 ตามมาด้วยค่าเดียวกันของกระแสไฟฟ้าที่ไหลผ่านองค์ประกอบตัวต้านทานแต่ละองค์ประกอบของวงจรไม่มีที่อื่นให้ไป ดังนั้นจึงให้ แรงดันตกคร่อม IxR ในแต่ละองค์ประกอบตัวต้านทาน
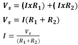
เมื่อมีแรงดันไฟฟ้าเราสามารถใช้กฎแรงดันไฟฟ้าของ Kirchoff และกฎของโอห์มเพื่อค้นหาแรงดันไฟฟ้าที่ลดลงจากตัวต้านทานแต่ละตัวที่ได้มาจากกระแสทั่วไปที่ไหลผ่าน
การใช้ KVL (กฎแรงดันไฟฟ้าของ Kirchoff)
ด้วยกฎของโอห์ม
เมื่อใช้สมการสองสมการข้างต้น จะให้:

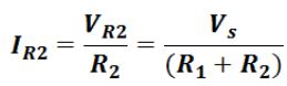
ในตัวแบ่งแรงดันไฟฟ้าแรงดันขาออกจะลดแรงดันไฟฟ้าขาเข้าและกระแสที่ไหลผ่านเครือข่ายอนุกรมที่สามารถคํานวณได้โดยใช้กฎของโอห์ม I = V / R เนื่องจากกระแสเป็นเรื่องปกติของตัวต้านทานทั้งสองกระแสข้ามตัวต้านทานจึงเท่ากัน เราสามารถคํานวณแรงดันไฟฟ้าที่ตกผ่านตัวต้านทาน R2 โดยใช้สมการนี้:
จากสมการด้านบนคุณสามารถแก้แรงดันไฟฟ้าตกคร่อม R2:
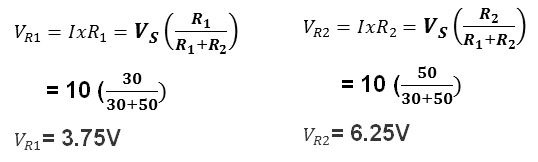
ในทํานองเดียวกันสําหรับตัวต้านทาน R1 เราสามารถใช้สมการ:
จากนั้นแก้แรงดันไฟฟ้าตกคร่อม R1:
ปัญหาตัวอย่าง
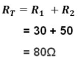
คํานวณแรงดันไฟฟ้าตกที่เกิดขึ้นในตัวต้านทานแต่ละตัวและปริมาณกระแสที่จะไหลผ่านตัวต้านทาน 30Ω ที่เชื่อมต่อแบบอนุกรมกับตัวต้านทาน 50Ω เมื่อแรงดันไฟฟ้าของแหล่งจ่ายไฟในชุดอนุกรมคือ 10 โวลต์ DC
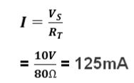
คํานวณความต้านทานทั้งหมดในวงจรและรวมทั้งหมดเนื่องจากตัวต้านทานเชื่อมต่อเป็นอนุกรม
การมีความต้านทานทั้งหมดจะช่วยให้คุณสามารถคํานวณกระแสที่ไหลในตัวต้านทานได้
การใช้สมการข้างต้นสามารถคํานวณแรงดันไฟฟ้าตกคร่อมตัวต้านทานได้

คุณต้องทราบแรงดันไฟฟ้าที่คุณจะจ่ายและความต้านทานโหลดเมื่อสร้างตัวแบ่งแรงดันไฟฟ้าสําหรับโหลดเฉพาะ ตัวแบ่งแรงดันไฟฟ้าควรมีกระแสเลือดออก 10% เท่านั้น – กระแสที่ดึงอย่างต่อเนื่องจากแหล่งแรงดันไฟฟ้าเพื่อลดผลกระทบของการเปลี่ยนแปลงโหลดหรือเพื่อให้แรงดันไฟฟ้าตกคร่อมตัวต้านทาน ซึ่งหมายความว่ากระแสที่ไหลผ่านโหลดเป็นสิบเท่าของกระแสที่ไหลผ่านด้านล่างของตัวแบ่งแรงดันไฟฟ้าลงกราวด์
ตัวอย่างเช่น:
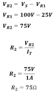
ข้อกําหนดสําหรับตัวแบ่งแรงดันไฟฟ้านี้คือการให้แรงดันไฟฟ้า 25V และกระแสไฟ 910 mA ให้กับโหลดจากแรงดันไฟฟ้าต้นทาง 100V
การคํานวณ R1 และ R2
กําหนดขนาดของตัวต้านทานที่ใช้ในวงจรแบ่งแรงดันไฟฟ้าโดยใช้กฎง่ายๆ 10% กระแสในตัวต้านทานตัวแบ่งควรเท่ากับประมาณ 10% ของกระแสโหลด กระแสนี้ซึ่งไม่ไหลผ่านอุปกรณ์โหลดใด ๆ เรียกว่ากระแสไล่ลม
ขั้นแรก ให้กําหนดความต้องการโหลดและแหล่งแรงดันไฟฟ้าที่มีอยู่
จากนั้นแก้กระแสไล่ลมโดยใช้กฎ 10%
หลังจากได้รับกระแสเลือดออกแล้ว คุณสามารถคํานวณความต้านทานของไล่ลมใน R1 ได้แล้ว
จากนั้นแก้กระแสทั้งหมดโดยเพิ่มโหลดและกระแสไล่ลม
จากค่าที่คํานวณได้ตอนนี้คุณสามารถแก้ค่าของ R2 ได้แล้ว
ตอนนี้คุณสามารถวาดวงจรแบ่งแรงดันไฟฟ้าใหม่ตามกฎ 10%
ในรูปแรกโปรดทราบว่าค่าความต้านทานของเครือข่ายขนานจะน้อยกว่าค่าของตัวต้านทานที่เล็กที่สุดในเครือข่ายเสมอเนื่องจากโหลดที่เชื่อมต่อระหว่างจุด B และกราวด์สร้างเครือข่ายขนานของโหลดและตัวต้านทาน R1
บันไดแรงดันไฟฟ้าเป็นวงจรที่ประกอบด้วยตัวต้านทานหลายตัวในอนุกรมโดยมีแรงดันไฟฟ้าที่วางอยู่ทั่วเครือข่ายตัวต้านทานทั้งหมด ตัวต้านทานแต่ละตัวในเครือข่ายมีแรงดันไฟฟ้าตกสูงกว่าตัวก่อนหน้า เนื่องจากตัวต้านทานในบันไดเป็นอนุกรมกระแสจึงเท่ากันตลอด เพื่อให้ได้ค่าคุณควรหารแรงดันไฟฟ้าทั้งหมดด้วยความต้านทานทั้งหมด แรงดันไฟฟ้าตกคร่อมในตัวต้านทานแต่ละตัวสามารถคํานวณได้โดยการคูณกระแสรวมด้วยค่าของตัวต้านทานแต่ละตัว แรงดันไฟฟ้าที่อ้างอิงถึงกราวด์ที่โหนดใด ๆ สามารถกําหนดได้ว่าเป็นผลรวมของแรงดันไฟฟ้าที่ลดลงโดยตัวต้านทานแต่ละตัวระหว่างโหนดนั้นและกราวด์
หวังว่าบทความนี้จะช่วยให้คุณเข้าใจตัวแบ่งแรงดันไฟฟ้าได้ดีขึ้น