เชี่ยวชาญเครื่องมือพื้นฐานที่วิศวกรทุกคนต้องการเพื่อวิเคราะห์วงจรได้อย่างง่ายดาย
ก่อนที่เราจะดําดิ่งสู่การอภิปรายเกี่ยวกับการวิเคราะห์วงจรให้เรากําหนดวงจรหรือวงจรอิเล็กทรอนิกส์ก่อน
วงจรอิเล็กทรอนิกส์เป็นระบบที่ประกอบด้วยชิ้นส่วนอิเล็กทรอนิกส์ เช่น ตัวต้านทาน ทรานซิสเตอร์ ตัวเก็บประจุ ตัวเหนี่ยวนํา ไดโอด และอื่นๆ อีกมากมาย ซึ่งเชื่อมต่อด้วยสายไฟที่กระแสไฟฟ้าสามารถไหลผ่านได้ วงจรอาคารเป็นเรื่องเกี่ยวกับการใช้ประโยชน์จากไฟฟ้าเพื่อสร้างอุปกรณ์ที่มีประโยชน์สําหรับชีวิตประจําวันของเรา
ตอนนี้การวิเคราะห์วงจรคืออะไร? เป็นการวิเคราะห์ทางคณิตศาสตร์ของวงจรไฟฟ้าหรืออิเล็กทรอนิกส์ เป็นกระบวนการศึกษาและวิเคราะห์ปริมาณไฟฟ้าผ่านการคํานวณ จากการวิเคราะห์นี้เราสามารถค้นหาองค์ประกอบที่ไม่รู้จักของวงจรเช่นแรงดันไฟฟ้ากระแสความต้านทานอิมพีแดนซ์กําลังและอื่น ๆ ทั่วทั้งส่วนประกอบ เมื่อทําการวิเคราะห์วงจรเราจําเป็นต้องเข้าใจปริมาณไฟฟ้าความสัมพันธ์ทฤษฎีบทและกฎที่จําเป็นบางประการ
มีกฎสําคัญสองข้อที่เราต้องเรียนรู้สําหรับการวิเคราะห์วงจร กฎหมายเหล่านี้เป็นกฎหมายเครือข่ายพื้นฐาน ได้แก่ (1) KCL หรือกฎปัจจุบันของ Kirchhoff และ (2) KVL หรือกฎหมายแรงดันไฟฟ้าของ Kirchhoff
กฎปัจจุบันของ Kirchhoff (KCL) เรียกอีกอย่างว่ากฎข้อแรกของ Kirchhoff, กฎจุดของ Kirchhoff หรือกฎทางแยกของ Kirchhoff (หรือกฎโหนด) เป็นหนึ่งในกฎพื้นฐานที่ใช้สําหรับการวิเคราะห์วงจร ระบุว่ากระแสไฟฟ้าที่เข้าสู่ทางแยกหรือโหนดจะเท่ากับกระแสที่ออกจากโหนด เนื่องจากไม่มีกระแสไฟฟ้าสูญหายภายในโหนด กล่าวอีกนัยหนึ่ง KCL ระบุว่า ผลรวมพีชคณิตของกระแสทั้งหมดที่เข้าและออกจากโหนดต้องเท่ากับศูนย์ Gustav Kirchhoff ใช้แนวคิดของเขาตามกฎการอนุรักษ์ประจุ
ในทางคณิตศาสตร์สามารถแสดงเป็น:

เนื่องจาก KCL เรียกอีกอย่างว่ากฎโหนด เราจึงสามารถเชื่อมโยงกับการวิเคราะห์แรงดันไฟฟ้าของโหนดได้ เราสามารถทําการวิเคราะห์โหนดโดยใช้ KCL การวิเคราะห์โหนดหรือวิธีการวิเคราะห์แรงดันโหนดจะกําหนดแรงดันไฟฟ้า (ความต่างศักย์) ระหว่าง 'โหนด' ในวงจรไฟฟ้าในแง่ของกระแสสาขา วิธีการวิเคราะห์แรงดันไฟฟ้าของโหนดจะแก้แรงดันไฟฟ้าที่ไม่รู้จักที่โหนดวงจรในแง่ของระบบสมการ KCL
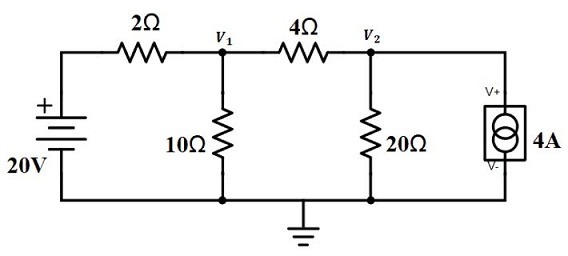
เพื่อเป็นตัวอย่าง ให้เราดูวงจรด้านล่าง

ขั้นแรก ให้เรานึกถึงกฎปัจจุบันของ Kirchhoff ซึ่งสามารถแสดงได้ดังนี้:

จากรูปเราจะเห็นว่ามีสองโหนดคือ V1 และ V2 ให้เราจําไว้ว่าโหนดคือที่ที่เชื่อมต่อสองสาขาขึ้นไป โหนดเหล่านี้เป็นแรงดันไฟฟ้าของโหนดที่ไม่รู้จักที่เราต้องค้นหา ด้านล่างวงจรเป็นโหนดอ้างอิงที่มีแรงดันไฟฟ้าเป็นศูนย์ สําหรับแต่ละโหนดควรมีสมการ เนื่องจากเรามีสองโหนด เราจึงต้องมีสมการสองสมการ
ในการใช้ KCL กับ V1 และ V2 เราจําเป็นต้องทราบทิศทางของแต่ละกระแส แต่ก่อนอื่นเราต้องดูที่แหล่งที่มา
สําหรับแหล่งพลังงาน 20V โปรดทราบว่ากระแสไฟฟ้าออกจากขั้วบวกและไปที่ V1 สําหรับแหล่งที่มาปัจจุบันเราทราบทิศทางปัจจุบันตามสัญลักษณ์บนวงจรแล้ว กระแสไปที่ V2
โปรดจําไว้ว่ากระแสไหลจากศักย์สูงไปสู่ศักย์ต่ํา และโหนดอ้างอิงมี 0V ดังนั้นเราจึงสามารถพูดได้ว่าเป็นศักยภาพต่ําซึ่งหมายความว่ากระแสไหลจาก V1 และ V2 ไปยังโหนดอ้างอิง
ตอนนี้สําหรับการไหลของกระแสในสาขาที่มีตัวต้านทาน 4 โอห์มเราสามารถสันนิษฐานได้ว่ากระแสไหลจาก V1 ถึง V2

เพื่อให้ได้สมการปัจจุบันสําหรับแต่ละองค์ประกอบเราต้องใช้กฎของโอห์มซึ่งระบุว่ากระแสเท่ากับความแตกต่างระหว่างศักย์สูงและต่ําหารด้วยความต้านทาน สิ่งนี้แสดงเป็น:

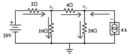
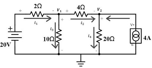
เพื่อให้ง่ายขึ้นเราจําเป็นต้องกําหนดขั้วให้กับตัวต้านทานตามทิศทางปัจจุบัน เรายังต้องกําหนดกระแสที่ไหลไปยังแต่ละสาขา:
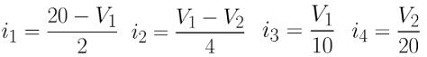
i1 = สาขาตัวต้านทาน 2 โอห์ม
i2 = สาขาตัวต้านทาน 4 โอห์ม
i3 = สาขาตัวต้านทาน 10 โอห์ม
i4 = สาขาตัวต้านทาน 20 โอห์ม

ตอนนี้เราจะใช้ KCL กับแต่ละโหนด แสดงแต่ละกระแสผ่าน V1 และ V2 โดยใช้กฎของโอห์ม

จากนั้นเราสามารถเขียนสมการโหนดได้ และเนื่องจากเรามีสองโหนด เราจึงต้องเขียนสมการสองสมการ เพื่อให้ง่ายขึ้น ให้เราสมมติว่ากระแสที่เข้าสู่โหนดเป็นบวกในขณะที่กระแสที่ออกจากโหนดเป็นลบ
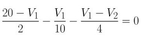
@node 1 หรือ V1: i1 – i3 – i2 = 0
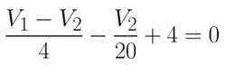
@node 2 หรือ V2: i2 – i4 + 4 = 0
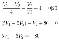
การแสดงสมการทั้งสองนี้ในแง่ของ V1 และ V2 เรามี:
@node 1,

@node 2,

ตอนนี้เรามีสมการสองสมการสําหรับสองสิ่งที่ไม่รู้จักแล้ว เราก็สามารถเริ่มแก้ได้
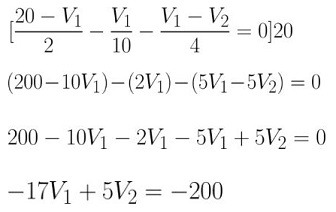
สําหรับสมการแรก ให้ลดความซับซ้อน:

สําหรับสมการที่สอง ให้ลดความซับซ้อน:

ใช้การยกเลิกสําหรับสมการทั้งสอง

แทนที่ค่าของสมการใดสมการหนึ่งจากสองสมการเพื่อให้ได้ V2

สําหรับการตรวจสอบ:


ตอนนี้เรามีค่า V1 และ V2 แล้ว เราจะพบกระแสที่ไหลไปยังแต่ละสาขา

กฎพื้นฐานข้อที่สองในการวิเคราะห์วงจรคือกฎแรงดันไฟฟ้าของ Kirchhoff หรือ KVL สิ่งนี้เรียกอีกอย่างว่ากฎข้อที่สองของ Kirchhoff หรือกฎลูป (หรือตาข่าย) ของ Kirchhoff KVL ระบุว่าผลรวมโดยตรงของความต่างศักย์ (แรงดันไฟฟ้า) รอบวงปิดใดๆ เป็นศูนย์ พูดง่ายๆก็คือมันบอกว่า ผลรวมพีชคณิตของแรงดันไฟฟ้าทั้งหมดในลูปต้องเท่ากับศูนย์
ในทางคณิตศาสตร์สามารถแสดงเป็น:

เนื่องจาก KVL เรียกอีกอย่างว่ากฎตาข่าย เราจึงสามารถเชื่อมโยงกับการวิเคราะห์กระแสตาข่ายได้ เราสามารถทําการวิเคราะห์ตาข่ายโดยใช้ KVL
การวิเคราะห์ตาข่ายหรือการวิเคราะห์กระแสตาข่ายใช้เพื่อแก้วงจรที่มีตัวแปรที่ไม่รู้จักน้อยกว่าและสมการพร้อมกันน้อยกว่า มีประโยชน์อย่างยิ่งหากคุณต้องแก้ปัญหาโดยไม่ต้องใช้เครื่องคิดเลข เป็นวิธีการที่มีการจัดระเบียบอย่างดีในการแก้วงจร แต่ในการวิเคราะห์เครือข่ายด้วยการวิเคราะห์แบบตาข่ายเราจําเป็นต้องปฏิบัติตามเงื่อนไขบางประการ การวิเคราะห์ตาข่ายใช้ได้กับวงจรหรือเครือข่ายของนักวางแผนเท่านั้น ซึ่งง่ายกว่าและไม่มีสายครอสโอเวอร์
ตาข่ายคือวงปิดเดี่ยวที่ระบุในวงจร เพื่อแสดงการวิเคราะห์กระแสตาข่ายให้เราพิจารณาวงจรด้านล่าง

เมื่อนึกถึง KVL เราแสดงในสมการต่อไปนี้:

จากรูปเราจะเห็นว่ามีตาข่ายสองตาข่ายที่กําหนดเป็นตาข่าย 1 และตาข่าย 2

ก่อนที่จะใช้ KVL กับแต่ละตาข่ายให้เรานึกถึงอนุสัญญาขั้วแรงดันไฟฟ้า แรงดันไฟฟ้าที่พบจากบวก (+) ถึงลบ (-) เป็นบวก ในขณะที่แรงดันไฟฟ้าที่พบจากลบ (-) ถึงบวก (+) เป็นลบ
ตอนนี้ให้เรากําหนดกระแสตาข่ายในแต่ละตาข่าย สําหรับตาข่าย 1 เรามี i1 และสําหรับตาข่าย 2 เรามี i2

จากนั้นเราดูทิศทางปัจจุบันในแต่ละสาขา

จากนั้นใช้ KVL กับแต่ละตาข่าย และเนื่องจากใน KVL ผลรวมของแรงดันไฟฟ้าในวงปิดเป็นศูนย์เราจึงต้องหาแรงดันไฟฟ้าในแต่ละองค์ประกอบ เราจะใช้กฎของโอห์ม: V=IR
ดังนั้นถ้าเรามีตัวต้านทาน 1 โอห์ม ตามกฎของโอห์ม แรงดันไฟฟ้าคือ 2i1 สําหรับสาขาที่มีตัวต้านทาน 6 โอห์มแรงดันไฟฟ้าอยู่ระหว่างตาข่าย 1 และตาข่าย 2 เราต้องกําหนด i3 ปัจจุบันสําหรับสาขา
เมื่อดูที่โหนดเรามี:

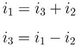
เมื่อใช้ KCL เราสามารถมี i3 ในแง่ของ i1 และ i2 โดย:

จากนั้นเราสามารถเขียนสมการตาข่ายได้
@mesh 1 หรือ i1:

@mesh 2 หรือ i2:

โดยการแสดง i3 โดยใช้ i1 และ i2 เรามี:

ตอนนี้เรามีสมการสองสมการสําหรับตาข่ายทั้งสองแล้ว เราก็สามารถเริ่มแก้ได้

แทนที่ i2 ในสมการที่ 1 เรามี:

สําหรับการตรวจสอบ ให้แทนที่ค่าที่เราคิดขึ้นมาเป็นสมการตาข่ายสองสมการ
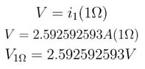
ตอนนี้เรามีค่า i1 และ i2 แล้วเราสามารถค้นหาแรงดันไฟฟ้าที่ลดลงในตัวต้านทานแต่ละตัว
การใช้กฎของโอห์มเราสามารถหาแรงดันไฟฟ้าที่ลดลงโดยการทดแทน ตัวอย่างเช่น:

โปรดจําไว้ว่าคุณสามารถใช้ตัวเลขที่น้อยกว่าหรือตําแหน่งทศนิยมได้ตลอดเวลาขึ้นอยู่กับสิ่งที่ถูกถาม ในตัวอย่างของเราเราใช้ค่าที่แน่นอนกับทศนิยม 8-10 ตําแหน่ง
วงจรที่เรามีเป็นตัวอย่างเป็นเพียงวงจรธรรมดา หากคุณเคยพบวงจรที่ซับซ้อนกว่านี้เพียงจําวิธีรวมตัวต้านทานแบบขนานและแบบอนุกรม ด้วยเหตุนี้ คุณจึงสามารถมีวงจรเทียบเท่าที่ง่ายขึ้น การวิเคราะห์จะยากน้อยลง เพื่อจําได้ว่ารูปแรกเป็นภาพประกอบสําหรับการเชื่อมต่อแบบอนุกรมและรูปที่สองสําหรับการเชื่อมต่อแบบขนาน

หวังว่าบทความนี้จะช่วยให้คุณเข้าใจวิธีวิเคราะห์วงจร แสดงความคิดเห็นด้านล่างหากคุณมีคําถามใด ๆ !