ค้นพบว่าวงจรดิฟเฟอเรนเซอร์ติดตามการเปลี่ยนแปลงอย่างรวดเร็วและทําให้เกมการประมวลผลสัญญาณของคุณคมชัดขึ้นได้อย่างไร
วงจรออปแอมป์สําหรับดิสเทอรีเอเตอร์เป็นวงจรที่ใช้ในการประมวลผลแบบอะนาล็อกมาหลายปี แม้ว่าวงจรดิฟเฟอเรนเชียลแบบอะนาล็อกที่ใช้แอมพลิฟายเออร์ดิฟเฟอเรนเชียลที่ทําจากชิ้นส่วนอิเล็กทรอนิกส์แบบแยกจะถูกนํามาใช้เป็นเวลาหลายปี แต่การเปิดตัววงจรรวมออปแอมป์ได้ปฏิวัติกระบวนการออกแบบวงจรอิเล็กทรอนิกส์
อัตราขยายในระดับที่สูงมากของแอมพลิฟายเออร์ปฏิบัติการหมายความว่าสามารถให้ประสิทธิภาพในระดับที่สูงมาก - ดีกว่าที่จะได้รับโดยใช้ชิ้นส่วนอิเล็กทรอนิกส์แบบแยกส่วน
หนึ่งในการใช้งานสําหรับวงจรดิฟเฟอเรนไทเอเตอร์แบบอะนาล็อกคือการแปลงรูปคลื่นประเภทต่างๆดังที่แสดงด้านล่าง
วงจรดิฟเฟอเรนเซอร์คือวงจรที่เอาต์พุตแรงดันไฟฟ้าเป็นสัดส่วนโดยตรงกับอัตราการเปลี่ยนแปลงของแรงดันไฟฟ้าขาเข้าตามเวลา
ซึ่งหมายความว่าการเปลี่ยนแปลงอย่างรวดเร็วของสัญญาณแรงดันไฟฟ้าขาเข้า
เนื่องจากวงจรดิฟเฟอเรนเซอร์มีเอาต์พุตที่เป็นสัดส่วนกับการเปลี่ยนแปลงอินพุตรูปคลื่นมาตรฐานบางตัวเช่นคลื่นไซน์คลื่นสี่เหลี่ยมและคลื่นสามเหลี่ยมให้รูปคลื่นที่แตกต่างกันมากที่เอาต์พุตของวงจรดิฟเฟอเรนเซอร์

รูปคลื่นและอนุพันธ์ที่แตกต่าง
สําหรับรูปคลื่นเหล่านี้จะเห็นได้ว่ายิ่งอัตราการเปลี่ยนแปลงของรูปคลื่นที่อินพุตมากเท่าใดแรงดันขาออก ณ จุดนั้นก็จะยิ่งสูงขึ้นเท่านั้น ในความเป็นจริงสําหรับอินพุตคลื่นสี่เหลี่ยมควรเห็นเฉพาะหนามแหลมที่สั้นมากเท่านั้น หนามแหลมจะถูก จํากัด โดยความชันของขอบของรูปคลื่นอินพุตและเอาต์พุตสูงสุดของวงจรและอัตราการฆ่าและแบนด์วิดท์ หนามแหลมควรสลายตัวอย่างรวดเร็ว อีกครั้งนี้อาจถูก จํากัด โดยวงจรและในแผนภาพการสลายตัวจะไม่แสดงให้เห็นว่าเป็น fas ที่ไม่มีที่สิ้นสุดซึ่งแสดงให้เห็นถึงรูปคลื่นในชีวิตจริงที่ดีกว่า
อินพุตคลื่นสามเหลี่ยมจะเปลี่ยนเป็นคลื่นสี่เหลี่ยมจัตุรัสตามระดับที่เพิ่มขึ้นและลดลงของรูปคลื่นอินพุต
คลื่นไซน์จะถูกแปลงเป็นรูปคลื่นโคไซน์ - ให้สัญญาณเปลี่ยนเฟส 90° สิ่งนี้อาจเป็นประโยชน์ในบางสถานการณ์
จะเห็นได้ว่าวงจรออปแอมป์สําหรับตัวรวมระบบนั้นคล้ายกับของตัวสร้างความแตกต่างมาก ความแตกต่างคือตําแหน่งของตัวเก็บประจุและตัวเหนี่ยวนํามีการเปลี่ยนแปลง
ในรูปแบบพื้นฐานศูนย์กลางของวงจรจะขึ้นอยู่กับแอมพลิฟายเออร์ปฏิบัติการเอง นอกจากนี้จําเป็นต้องมีส่วนประกอบอิเล็กทรอนิกส์อื่น ๆ อีกสองสามชิ้น: ตัวเก็บประจุเชื่อมต่อจากอินพุตของวงจรทั้งหมดไปยังอินพุตกลับด้านของแอมพลิฟายเออร์ปฏิบัติการ ตัวต้านทานป้อนกลับจะถูกใช้เพื่อให้ข้อเสนอแนะเชิงลบรอบชิปออปแอมป์ซึ่งเชื่อมต่อจากเอาต์พุตของแอมพลิฟายเออร์ปฏิบัติการไปยังอินพุตกลับด้าน อินพุตแบบไม่กลับด้านเชื่อมต่อกับกราวด์

วงจรแยกความแตกต่างของแอมป์อนาล็อกพื้นฐาน
ซึ่งแตกต่างจากวงจรรวมตัวสร้างความแตกต่างของแอมพลิฟายเออร์ปฏิบัติการมีตัวต้านทานในการป้อนกลับจากเอาต์พุตไปยังอินพุตกลับด้าน สิ่งนี้ทําให้มีความเสถียรของ DC ซึ่งเป็นปัจจัยสําคัญในการใช้งานจํานวนมาก
ในการพัฒนาค่าส่วนประกอบอิเล็กทรอนิกส์สําหรับวงจรดิฟเฟอเรนเตอร์จําเป็นต้องกําหนดประสิทธิภาพที่จําเป็น
เอาต์พุตแรงดันไฟฟ้าสําหรับตัวแยกส่วนของแอมพลิฟายเออร์ปฏิบัติการสามารถกําหนดได้จากความสัมพันธ์ด้านล่าง:
ดังที่ได้กล่าวไว้ ตัวสร้างความแตกต่างมีปัญหาเกี่ยวกับเสียงรบกวนและบางครั้งความไม่เสถียรที่ความถี่สูงอันเป็นผลมาจากอัตราขยายและการเปลี่ยนเฟสภายในภายในแอมพลิฟายเออร์ปฏิบัติการ
ปัญหาเหล่านี้สามารถเอาชนะได้โดยการเพิ่ม HF roll off ต้องใช้ชิ้นส่วนอิเล็กทรอนิกส์เพิ่มเติมเพียงสองชิ้นเพื่อให้บรรลุเป้าหมายนี้

วงจร Op amp สําหรับตัวสร้างความแตกต่างพร้อมตัวต้านทานเพิ่มเติมและส่วนประกอบอิเล็กทรอนิกส์ของตัวเก็บประจุเพื่อความเสถียร
การเลือกชิ้นส่วนอิเล็กทรอนิกส์: ตัวเก็บประจุ C2 และตัวต้านทาน R2 ขึ้นอยู่กับเงื่อนไขเป็นอย่างมาก - ระดับของเสียงรบกวนและแบนด์วิดท์ที่แตกต่างที่จําเป็น ค่าที่มากขึ้นของชิ้นส่วนอิเล็กทรอนิกส์ช่วยเพิ่มเสถียรภาพและลดเสียงรบกวนโดยแลกกับแบนด์วิดท์
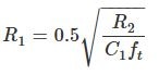
ค่าของ R2 สามารถคํานวณได้จากสมการ:

แม้ว่าจะไม่รวมอยู่เสมอไป แต่ก็สามารถเพิ่มตัวเก็บประจุ C2 เพื่อลดสัญญาณรบกวนเพิ่มเติมได้ ค่าเริ่มต้นที่เหมาะสมสําหรับสิ่งนี้สามารถประมาณได้จากสมการด้านล่าง

ด้วยส่วนประกอบอิเล็กทรอนิกส์เพิ่มเติม C2 และ R2 วงจรจะเริ่มกลายเป็นตัวรวมที่ความถี่สูง (f » 1/2 π R1 C1 ) สิ่งนี้เกิดขึ้นจากความเรียบของข้อเสนอแนะและการชดเชยโดยรวมภายในแอมพลิฟายเออร์ปฏิบัติการเอง
มีข้อควรพิจารณาในการออกแบบวงจรอิเล็กทรอนิกส์หลายประการที่ต้องนํามาพิจารณาเมื่อใช้วงจรดิสเทอร์ดิเอเตอร์ออปแอมป์
วงจรดิฟเฟอเรนเตอร์มีการใช้งานมากมายในหลายด้านของการออกแบบอิเล็กทรอนิกส์ ตัวสร้างความแตกต่างของออปแอมป์นั้นใช้งานง่ายเป็นพิเศษ ดังนั้นจึงอาจเป็นหนึ่งในรุ่นที่ใช้กันอย่างแพร่หลายมากที่สุด
เห็นได้ชัดว่าวงจรนี้ใช้ในคอมพิวเตอร์อะนาล็อกซึ่งสามารถจัดการความแตกต่างของแรงดันไฟฟ้าอะนาล็อกอินพุตได้
อาจใช้วงจรดิฟเฟอเรนเตอร์กันอย่างแพร่หลายในเครื่องมือวัดกระบวนการ ที่นี่สามารถใช้เพื่อตรวจสอบอัตราการเปลี่ยนแปลงของจุดต่างๆ หากอุปกรณ์วัดส่งคืนอัตราการเปลี่ยนแปลงที่มากกว่าค่าที่กําหนด จะให้แรงดันขาออกสูงกว่าเกณฑ์ที่กําหนด และสามารถวัดได้โดยใช้ตัวเปรียบเทียบและใช้เพื่อตั้งค่าการเตือนหรือสัญญาณเตือน
ในความเป็นจริงมีแอปพลิเคชั่นการปรับสภาพสัญญาณมากมายที่อาจต้องใช้ตัวสร้างความแตกต่าง จากตัวเลือกต่างๆที่เปิดให้กับนักออกแบบวงจรอิเล็กทรอนิกส์บ่อยครั้งที่โซลูชัน op amp มักจะน่าสนใจที่สุดโดยต้องใช้ส่วนประกอบเพียงเล็กน้อยในขณะที่ยังคงให้ประสิทธิภาพในระดับที่ยอดเยี่ยม
วงจรออปแอมป์สําหรับดิฟไทเอเตอร์ถูกนํามาใช้ในแอพพลิเคชั่นคอมพิวเตอร์อะนาล็อกจํานวนมากอย่างไรก็ตามยังใช้ในการแปลงรูปคลื่นเมื่อจําเป็นต้องประมวลผลสัญญาณ อัตราขยายของวงจรออปแอมป์หมายความว่าการเปลี่ยนแปลงเกือบจะสมบูรณ์แบบแม้ว่าสัญญาณรบกวนอาจเป็นปัญหาได้และด้วยเหตุนี้วงจรเหล่านี้จึงอาจไม่ได้ใช้กันอย่างแพร่หลายเท่าที่ควร
การใช้ชิ้นส่วนอิเล็กทรอนิกส์เพียงไม่กี่ชิ้นและสมการการออกแบบวงจรอิเล็กทรอนิกส์อย่างง่ายวงจรออปแอมป์เหล่านี้จึงใช้งานง่าย