
เครื่องสังเคราะห์ความถี่ Fractional-N ช่วยปรับปรุงประสิทธิภาพการทำงานโดยเปิดใช้งานขั้นตอนความถี่ขนาดเล็กที่ความถี่การเปรียบเทียบสูง
เครื่องสังเคราะห์ความถี่เศษส่วน N มอบโซลูชันที่สะดวกต่อปัญหาขนาดขั้นที่เล็กโดยไม่จำเป็นต้องใช้อัตราส่วนการแบ่งที่ใหญ่
วิธีนี้จะช่วยเอาชนะปัญหาประสิทธิภาพการทำงานจำนวนหนึ่งที่เกี่ยวข้องกับอัตราส่วนการแบ่งที่สูงมากในตัวแบ่งดิจิทัลของลูปล็อกเฟส ซึ่งอาจนำไปสู่ปัญหาประสิทธิภาพการทำงานจำนวนหนึ่งได้
โดยใช้เทคนิคการออกแบบวงจร RF แบบดั้งเดิม ความถี่เอาต์พุตจะเป็นจำนวนเต็มคูณความถี่เปรียบเทียบของตัวตรวจจับเฟส ซึ่งหมายความว่าการเปลี่ยนอัตราส่วนการแบ่งหนึ่งจะทำให้ความถี่เปลี่ยนแปลงไปในปริมาณที่เท่ากับความถี่เปรียบเทียบ สำหรับขนาดขั้นที่เล็กมาก หมายความว่าความถี่เปรียบเทียบจะต้องเล็กและอัตราส่วนการแบ่งต้องใหญ่
เนื่องจากสิ่งนี้ทำให้เกิดปัญหาประสิทธิภาพหลายประการ ดังนั้นจึงหมายความว่าการสังเคราะห์ N เศษส่วนเป็นตัวเลือกที่น่าสนใจมาก
ความต้องการสำหรับการสังเคราะห์ n เศษส่วน
เครื่องสังเคราะห์เสียงแบบเศษส่วน n ใช้ลูป PLL ดิจิทัลพื้นฐาน ซึ่งประกอบด้วย VCO, ตัวตรวจจับเฟส, ตัวกรองลูป, ตัวแบ่งสัญญาณ และอาจใช้มิกเซอร์ภายในลูปด้วย อย่างไรก็ตาม เพื่ออธิบายการทำงานของมัน จะใช้ลูปดิจิทัลแบบง่ายที่มีตัวแบ่งสัญญาณเพิ่มเข้าไปใน PLL พื้นฐานเท่านั้น

เมื่อใช้ลูปนี้ ตัวตรวจจับเฟสจะเปรียบเทียบสัญญาณสองสัญญาณที่เข้ามา ได้แก่ สัญญาณอ้างอิงและสัญญาณ VCO ที่ถูกแบ่ง ลูปจะล็อกเมื่อสัญญาณทั้งสองที่เข้ามาในตัวตรวจจับมีความถี่เท่ากัน ซึ่งหมายความว่า VCO จะทำงานที่ความถี่เท่ากับอัตราส่วนการแบ่งคูณความถี่การเปรียบเทียบเฟส
การที่จะบรรลุขั้นตอนเล็กๆ ระหว่างช่องความถี่ต่างๆ ในขณะที่ยังคงให้ความถี่การทำงานที่เหมาะสมนั้น จำเป็นต้องมีอัตราส่วนการแบ่งที่สูงมาก ตัวอย่างเช่น ลูปที่ทำงานที่ความถี่ 10 MHz และต้องการขนาดขั้นตอน 100 Hz จะต้องมีอัตราส่วนการแบ่งที่ 100,000 ซึ่งสามารถทำได้อย่างสมบูรณ์ แต่ก็ส่งผลกระทบต่อประสิทธิภาพของลูป เนื่องจากแบนด์วิดท์ของลูปโดยทั่วไปต้องอยู่ที่ประมาณหนึ่งในสิบของความถี่เปรียบเทียบอ้างอิง ดังนั้น จากตัวอย่างข้างต้น แบนด์วิดท์ของลูปจึงมีเพียง 10 Hz เท่านั้น ส่งผลให้ประสิทธิภาพลดลง:
อีกทางเลือกหนึ่งคือการใช้เครื่องสังเคราะห์เสียงแบบหลายลูป แต่การทำเช่นนี้จะส่งผลต่อต้นทุนอย่างมาก
ตัวเลือกที่ถูกกว่ามากแต่ยังคงรักษาประสิทธิภาพโดยรวมระดับสูงไว้ได้คือการใช้เครื่องสังเคราะห์ความถี่ n แบบเศษส่วน
แนวคิดเบื้องหลังการสังเคราะห์ n แบบเศษส่วนนั้นเป็นไปตามชื่อของมันอย่างมาก นั่นคือ ตัวหารจะมีอัตราส่วนการหารเศษส่วนแทนที่จะเป็นจำนวนเต็มอย่างที่คาดกันไว้ เพื่อให้บรรลุถึงสิ่งนี้ ตัวหารจึงมีตัวเลือกระหว่างอัตราส่วนการหาร
โดยทั่วไปจะเปลี่ยนแปลงระหว่าง N และ N+1 ซึ่งเป็นสัดส่วนของอัตราส่วนการแบ่งต่างๆ ที่กำหนดเพื่อให้ได้ความถี่ที่ต้องการ ช่วงอัตราส่วนการแบ่งของ N และ N+1 จะให้ความถี่ระหว่างอัตราส่วนการแบ่งทั้งสอง นอกจากนี้ ยังมีตัวนับโมดูลัสแบบสลับที่ให้จำนวนนับระหว่าง N และ N+1 อีกด้วย
ข้อดีของการใช้การสังเคราะห์ n เศษส่วนก็คือความถี่ขั้นสามารถเล็กได้ในขณะที่ยังคงอนุญาตให้มีความถี่การเปรียบเทียบสูงและแบนด์วิดท์ลูปเพื่อปรับปรุงประสิทธิภาพโดยรวมของเครื่องสังเคราะห์

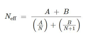
เมื่อใช้ตัวแบ่งโมดูลัสคู่ในการออกแบบ RF จะสามารถคำนวณอัตราส่วนการแบ่งที่มีประสิทธิภาพโดยรวมได้อย่างง่ายดาย ในการหาอัตราส่วนการแบ่งที่มีประสิทธิภาพ จำเป็นต้องทราบอัตราส่วนการแบ่งทั้งสองและจำนวนรอบ VCO ที่อัตราส่วนการแบ่งแต่ละอัตราส่วนมีประสิทธิภาพ ดังนั้น อัตราส่วนการแบ่งที่มีประสิทธิภาพสามารถคำนวณได้จากสูตร:

ที่ไหน:
เนฟ = อัตราส่วนการแบ่งส่วนโดยรวม
A = จำนวนรอบหารด้วย N
B = จำนวนรอบ VCO หารด้วย N+1
เราอาจจินตนาการได้ว่าการเปลี่ยนแปลงอัตราส่วนการแบ่งตัวตลอดช่วงวัฏจักร VCO ก่อให้เกิดการหยุดชะงักของระบบ ส่งผลให้เกิดการปล่อยมลพิษปลอมจำนวนมากที่ปรากฏบนเอาต์พุตของเครื่องสังเคราะห์ N แบบแยกส่วน
การเปลี่ยนแปลงโมดูลัสแบบคาบทำให้เกิดการสะสมของความคลาดเคลื่อนของเฟส ซึ่งสะสมตลอดวงจรอ้างอิง N รอบของตัวแบ่ง ความคลาดเคลื่อนของเฟสนี้แปลเป็นสัญญาณรบกวนแบบคาบในแรงดันควบคุม VCO และส่งผลให้เกิดสัญญาณปลอมที่ค่อนข้างใกล้เคียงกับคลื่นพาหะที่ต้องการ
การสะสมเฟสนี้เกิดขึ้นเนื่องจากค่าเฉลี่ยของความถี่ป้อนกลับมีค่าเท่ากับความถี่อ้างอิง ส่งผลให้ความคลาดเคลื่อนของเฟสสะสมตลอด N รอบอ้างอิงก่อนที่จะถูกรีเซ็ต
มีหลายวิธีในการลดผลกระทบของสัญญาณปลอมเหล่านี้ ข้อผิดพลาดของเฟสสะสมสามารถถูกยกเลิกได้ ซึ่งเป็นวิธีการที่ Racal จดสิทธิบัตรไว้ในรูปแบบที่เรียกว่า Digiphase อีกวิธีหนึ่งคือการสลับโมดูลัสแบบสุ่มเพื่อให้แถบข้างถูกบดบังด้วยสัญญาณรบกวน ซึ่งจะช่วยลดระดับของแถบข้างที่แตกต่างกัน เพื่อให้ได้ระดับสัญญาณรบกวนโดยรวมที่สูงขึ้น
นอกเหนือจากระบบ Racal Digiphase แล้ว บริษัทอื่นๆ อีกหลายแห่งยังได้พัฒนาโซลูชันการสังเคราะห์ N เศษส่วนของตนเอง ซึ่งนำมาใช้ในผลิตภัณฑ์ของตนเอง
โดยทั่วไปแล้ว โซลูชันเครื่องสังเคราะห์ N แบบเศษส่วนมักถูกใช้ในเครื่องรับวิทยุมากกว่าในเครื่องกำเนิดสัญญาณ สัญญาณปลอมที่สร้างขึ้นใกล้กับคลื่นพาหะมักจะไม่เป็นที่ยอมรับในเครื่องกำเนิดสัญญาณประสิทธิภาพสูง
แม้ว่าจะให้ขนาดขั้นตอนที่เล็กมากตามที่ต้องการโดยที่ความถี่การเปรียบเทียบเฟสจะไม่ต่ำจนเกิดปัญหาลูปอื่นๆ แต่ปัญหาสัญญาณปลอมก็ทำให้ปกติแล้วจะไม่ถูกนำมาใช้ สำหรับการออกแบบวงจร RF ของเครื่องกำเนิดสัญญาณประสิทธิภาพสูง จำเป็นต้องใช้เครื่องสังเคราะห์ความถี่แบบหลายลูป
การสังเคราะห์ไนโตรเจนแบบเศษส่วนเป็นวิธีที่สะดวกมากในการกำหนดขนาดขั้นตอนที่เล็กลง ในขณะที่ยังคงรักษาความถี่การเปรียบเทียบที่สูงไว้ วิธีนี้ช่วยปรับปรุงประสิทธิภาพในแง่ของสัญญาณรบกวนเฟสที่เกิดจากการคูณตัวตรวจจับเฟสและการอ้างอิงที่เกิดขึ้นภายในแบนด์วิดท์ลูปอย่างมีนัยสำคัญ ขณะเดียวกันก็ปรับปรุงเวลาการตกตะกอนและความเสถียรของลูปด้วย
ข้อเสียหลักของการสังเคราะห์ความถี่ N แบบเศษส่วนเกิดจากสัญญาณปลอมที่ระบบสร้างขึ้น โชคดีที่สามารถลดทอนสัญญาณเหล่านี้ลงได้จนไม่เป็นปัญหา ดังนั้น การสังเคราะห์ความถี่ N แบบเศษส่วนจึงเป็นเทคนิคที่สามารถนำมาใช้ให้เกิดประโยชน์ได้